Главная Случайная страница


Полезное:

Как сделать разговор полезным и приятным Как сделать объемную звезду своими руками Как сделать то, что делать не хочется? Как сделать погремушку Как сделать так чтобы женщины сами знакомились с вами Как сделать идею коммерческой Как сделать хорошую растяжку ног? Как сделать наш разум здоровым? Как сделать, чтобы люди обманывали меньше Вопрос 4. Как сделать так, чтобы вас уважали и ценили? Как сделать лучше себе и другим людям Как сделать свидание интересным?


Категории:

АрхитектураАстрономияБиологияГеографияГеологияИнформатикаИскусствоИсторияКулинарияКультураМаркетингМатематикаМедицинаМенеджментОхрана трудаПравоПроизводствоПсихологияРелигияСоциологияСпортТехникаФизикаФилософияХимияЭкологияЭкономикаЭлектроника






Синхронный детектор





 

Для реализации синхронного детектора обычно используется аналоговый перемножитель сигналов. При этом на один из входов аналогового перемножителя поступает амплитудно-модулированный сигнал u c(t) (5.1), на другой вход – опорное когерентное колебание u 0(t). В результате перемножения колебаний на выходе образуются низкочастотная составляющая 0,5 u a(t) U 0 и высокочастотная составляющая 0,5 u a(t) U 0cos(2wc t), которая устраняется на выходе с помощью фильтра низкой частоты C н R н. К основным преимуществам синхронного детектора относятся:

§ малые нелинейные искажения u вых(t), вследствие работы при достаточно больших напряжениях опорного колебания в режиме детектирования «сильных» сигналов;

§ возможность подключения в качестве нагрузки ФНЧ с полосой прозрачности, величина которой не зависит от значений частоты Wmax модулирующего колебания;

§ высокое входное и низкое выходное сопротивления, что обеспечивает хорошее согласование с соседними каскадами устройств обработки сигналов.

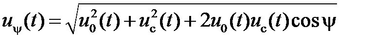
Однако преимущества синхронного детектирования амплитудно-модулированных сигналов реализуются лишь при точной синхронизации опорного и несущего колебаний. В реальных устройствах возможен фазовый сдвиг y между указанными колебаниями, вызванный задержкой в цепи формирования опорного колебания.

При наличии фазового сдвига y ¹ 0 амплитуда колебания на выходе синхронного детектора будет равна

. (5.21)

Разлагая выражение (5.21) в степенной ряд и ограничиваясь первыми членами разложения, можно получить

.

Если входной сигнал u (t) имеет амплитудную модуляцию вида u a(t) = = U c[1 + m acosΩ t ], то полезный сигнал на выходе синхронного детектора (без учета коэффициентов усиления) равен

u вых(t) = 0,5 U c[1 + m acos Ω t ] U 0cosy. (5.22)

Максимальное значение u вых(t) достигается при величине y = 2 k p, что и следовало ожидать.

 

 







Date: 2015-09-24; view: 589; Нарушение авторских прав



mydocx.ru - 2015-2026 year. (1.584 sec.) Все материалы представленные на сайте исключительно с целью ознакомления читателями и не преследуют коммерческих целей или нарушение авторских прав - Пожаловаться на публикацию