Главная Случайная страница


Полезное:

Как сделать разговор полезным и приятным Как сделать объемную звезду своими руками Как сделать то, что делать не хочется? Как сделать погремушку Как сделать так чтобы женщины сами знакомились с вами Как сделать идею коммерческой Как сделать хорошую растяжку ног? Как сделать наш разум здоровым? Как сделать, чтобы люди обманывали меньше Вопрос 4. Как сделать так, чтобы вас уважали и ценили? Как сделать лучше себе и другим людям Как сделать свидание интересным?


Категории:

АрхитектураАстрономияБиологияГеографияГеологияИнформатикаИскусствоИсторияКулинарияКультураМаркетингМатематикаМедицинаМенеджментОхрана трудаПравоПроизводствоПсихологияРелигияСоциологияСпортТехникаФизикаФилософияХимияЭкологияЭкономикаЭлектроника






В фазовую





 

Преобразование частотно-модулированного колебания в колебание, модулированное по фазе, может быть выполнено с помощью линейной цепи, обеспечивающей линейную зависимость фазы выходного напряжения от частоты.

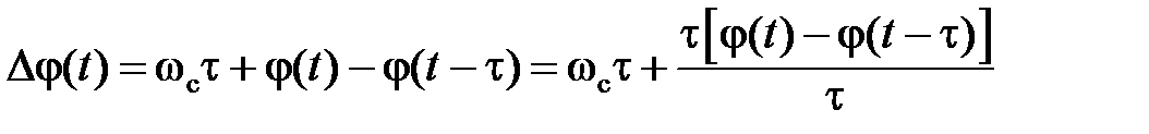
Пусть на входе цепи, вносящей задержку τ, действует ЧМ-сигнал

u c(t) = U csin[ωс t + φ(t)],

частота которого изменяется по закону . Тогда колебание на выходе такой линейной цепи имеет вид

u вых(t) = U сsin [ωс(t – τ) + φ(t – τ)]. (4.7)

Фазовый сдвиг выходного напряжения относительно входного равен

. (4.8)

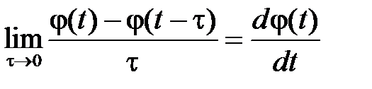
Учитывая, что , из выражения (4.8) получим

. (4.9)

Таким образом, при малом значении τ закон изменения разности фаз ЧМ-сигнала на выходе линейной цепи совпадает с законом изменения частоты входного сигнала.

При реализации частотного детектора на основе такого представления используются относительно линейные участки фазочастотной характеристики, например, избирательной цепи с передаточной функцией K (j ω) вида (4.2).

Структурная схема подобного частотного детектора приведена на рис. 4.5. Для поворота фазы входного сигнала на угол p/2 используется аналоговый широкополосный фазовращатель. В этом случае детекторная характеристика частотного детектора будет проходить через нуль.

Мгновенная разность фаз ЧМ-сигнала на входе и выходе избирательного контура определяется по фазочастотной характеристике контура для установившегося состояния:

. (4.10)

1,0
Q(x) = arctgx
90°
45°
-45°
-90°
АЧХ
-3
-2
-1
 
 
 
x
Рис. 4.6. Нормированные амплитудная и фазочастотная характеристики избирательного контура
p/2
K (j w)
 
~ = ~
u вых(t)
u c(t)
Рис. 4.5. Обобщенная схема частотного детектора с преобразованием частотной модуляции в фазовую

 

 


Эта характеристика имеет близкий к линейному участок в области частотных расстроек x @ 0 и, следовательно, может быть использована для преобразования входного ЧМ-сигнала в колебание с модуляцией по фазе (рис. 4.6).

Отметим, что в колебании на выходе избирательной цепи будет присутствовать сопутствующая амплитудная модуляция. Для устранения влияния на форму выходного напряжения сопутствующей амплитудной модуляции перед фазовым детектором включают амплитудный ограничитель либо сам фазовый детектор переводят в режим работы с ограничением.

 







Date: 2015-09-24; view: 529; Нарушение авторских прав



mydocx.ru - 2015-2026 year. (0.865 sec.) Все материалы представленные на сайте исключительно с целью ознакомления читателями и не преследуют коммерческих целей или нарушение авторских прав - Пожаловаться на публикацию