Главная Случайная страница


Полезное:

Как сделать разговор полезным и приятным Как сделать объемную звезду своими руками Как сделать то, что делать не хочется? Как сделать погремушку Как сделать так чтобы женщины сами знакомились с вами Как сделать идею коммерческой Как сделать хорошую растяжку ног? Как сделать наш разум здоровым? Как сделать, чтобы люди обманывали меньше Вопрос 4. Как сделать так, чтобы вас уважали и ценили? Как сделать лучше себе и другим людям Как сделать свидание интересным?


Категории:

АрхитектураАстрономияБиологияГеографияГеологияИнформатикаИскусствоИсторияКулинарияКультураМаркетингМатематикаМедицинаМенеджментОхрана трудаПравоПроизводствоПсихологияРелигияСоциологияСпортТехникаФизикаФилософияХимияЭкологияЭкономикаЭлектроника






Общие сведения. Амплитудным детектором (АД) называется устройство, предназначенное для получения на выходе напряжения





 

Амплитудным детектором (АД) называется устройство, предназначенное для получения на выходе напряжения, изменяющегося в соответствии с законом изменения огибающей входного амплитудно-моду­лированного сигнала.

Процесс детектирования амплитудно-модулированных (АМ) сигналов заключается в воспроизведении модулирующего сообщения x (t) с наименьшими искажениями. В аналитической форме АМ-сигнал имеет вид

u c(t) = u a(t)cos ( ωc t), (5.1)

где u a(t) = U c[1 + m a x (t)], m a £ 1 – коэффициент глубины модуляции; U c – амплитуда несущего колебания с частотой ωc. Спектр сообщения x (t) сосредоточен в области низких частот (частот модуляции), а спектр сигнала u c(t) – в области частоты ωc, значение которой обычно намного превышает значение наивысшей частоты модуляции. Преобразование спектра при демодуляции возможно только в устройствах, выполняющих нелинейное или параметрическое преобразование входного сигнала u c(t).

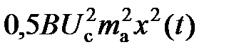
При использовании нелинейного устройства, обладающего квадратичной вольт-амперной характеристикой, выходной токимеет вид

, (5.2)

где В – постоянный коэффициент. После устранения фильтром низких частот (ФНЧ) составляющей с частотой 2ωc получим

. (5.3)

В этом токе содержится составляющая вида , пропорциональная передаваемому сообщению, а также составляющая , которая обуславливает степень нелинейных искажений модулирующего сообщения x (t).

Параметрическое преобразование осуществляется путем умножения u c(t) на опорное колебание, имеющее вид u 0(t) = U 0cos(ωc t). В этом случае результат перемножения определяется следующим выражением:

u c(t) u 0(t) = u a(t) U 0 [0,5 + 0,5cos(2ωc t)]. (5.4)

Составляющая с частотой 2ωc устраняется ФНЧ, и в результате формируется низкочастотный сигнал вида 0,5 U 0 u a(t). Отделяя постоянную составляющую 0,5 U 0 U c, например, при помощи разделительного конденсатора, получаем сигнал вида 0,5 U 0 U c m a x (t), форма которого определяется передаваемым сообщением x (t).

 

 







Date: 2015-09-24; view: 521; Нарушение авторских прав



mydocx.ru - 2015-2026 year. (0.832 sec.) Все материалы представленные на сайте исключительно с целью ознакомления читателями и не преследуют коммерческих целей или нарушение авторских прав - Пожаловаться на публикацию