Главная Случайная страница


Полезное:

Как сделать разговор полезным и приятным Как сделать объемную звезду своими руками Как сделать то, что делать не хочется? Как сделать погремушку Как сделать так чтобы женщины сами знакомились с вами Как сделать идею коммерческой Как сделать хорошую растяжку ног? Как сделать наш разум здоровым? Как сделать, чтобы люди обманывали меньше Вопрос 4. Как сделать так, чтобы вас уважали и ценили? Как сделать лучше себе и другим людям Как сделать свидание интересным?


Категории:

АрхитектураАстрономияБиологияГеографияГеологияИнформатикаИскусствоИсторияКулинарияКультураМаркетингМатематикаМедицинаМенеджментОхрана трудаПравоПроизводствоПсихологияРелигияСоциологияСпортТехникаФизикаФилософияХимияЭкологияЭкономикаЭлектроника






Формули Тейлора та Маклорена





Для функції, яка диференційовна раз включно в околі точки має місце формула Тейлор а:


, .
Останній доданок у формулі Тейлора


називають залишковим членом у формі Лагранжа, і якщо похідна обмежена, то він прямує до нуля при .
При ця формула набуває вигляду:

, де .
Її називають формулою Маклорена.

У точці сама функція і похідні парних порядків () дорівнюють нулю, а всі похідні непарних порядків дорівнють .
Отже,
.
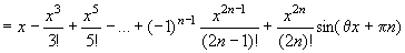
Аналогічно записують формулу Маклорена для функції , а саме


За допомогою формул Тейлора і Маклорена складні функції з великою точністю замінюють многочленами, що полегшує обчислення.

 

23 Ознаки монотонності функції.

· (Критерій монотонності функції, що має похідну на інтервалі) Нехай функція неперервна на (A, b), і має в кожній точці похідну f '(x). Тоді

f зростає на (A, b) тоді і тільки тоді, коли

f убуває на (A, b) тоді і тільки тоді, коли

· (Достатня умова суворої монотонності функції, що має похідну на інтервалі) Нехай функція неперервна на (A, b), і має в кожній точці похідну f '(x). Тоді

якщо то f строго зростає на (A, b);

якщо то f строго убуває на (A, b).

Зворотне, взагалі кажучи, невірно. Похідна строго монотонною функції може звертатися в нуль. Однак, безліч точок, де похідна не дорівнює нулю, має бути щільно на інтервалі (A, b). Точніше має місце

· (Критерій суворої монотонності функції, що має похідну на інтервалі) Нехай і всюди на інтервалі визначена похідна f '(x). Тоді f строго зростає на інтервалі (A, b) тоді і тільки тоді, коли виконані наступні дві умови:

1.

2.

Аналогічно, f строго убуває на інтервалі (A, b) тоді і тільки тоді, коли виконані наступні дві умови:

1.

2.

24. Екстремум функції.

Точка х0 називається точкою локального максимуму функції , якщо для будь-яких досить малих виконується нерівність

.

Точка х0 називається точкою локального мінімуму функції , якщо для будь-яких досить малих виконується нерівність

.

Точки максимуму і мінімуму називаються точками екстремуму функції , а значення функції в екстремальних точках – її екстремальними значеннями.

Необхідну ознаку локального екстремуму дає така теорема:

Теорема 1. Якщо функція має в точці х0 локальний екстремум, то або , або не існує.

Проте виявляється, що цього недостатньо, бо може , а функція в цій точці екстремуму не має.

Точки, в яких функція визначена та неперервна, і в цих точках або не існує, називаються критичними для функції.

Проте не в кожній критичній точці функція має екстремум. Тому потрібні достатні ознаки існування екстремуму для функції f. Їх дають такі теореми:

Теорема 2.

Нехай функція неперервна в деякому інтервалі, який містить критичну точку х0, і диференційована у всіх точках цього інтервалу (за винятком, можливо, самої точки х0).

Якщо для х<х0 , а для х0<x , то для х=х0 функція має максимум.

Якщо для х<х0 , а для х0<x , то для х=х0 функція має мінімум.

Теорема 3.

Нехай функція два рази диференційована в околі точки х0 і . Тоді в точці х=х0 функція має локальний максимум, якщо , і локальний мінімум, якщо .

Якщо ж , то точка х=х0 може й не бути точкою екстремуму.

Звідси випливає такий план знаходження екстремальних точок:

1. знаходять критичні точки функції , тобто точки, в яких , або не існує;2. знаходять другу похідну і обчислюють значення другої похідної в цих точках.

Якщо значення другої похідної в критичній точці від’ємне, то така точка є точкою максимуму, а якщо значення другої похідної додатне, то точка є точкою мінімуму.

Якщо в критичній точці, то нічого конкретного сказати не можна, бо в цій точці може бути екстремум, а може й не бути.

Розглянемо тепер дослідження функції на екстремум на конкретних прикладах.

Приклад 1.

Дослідити на екстремум функцію

Розв’язання.

Функція визначена і диференційована на R. Знайдемо її похідну:

.

Знайдемо нулі похідної:

х2+х-2=0, х1=-2 х2=1.

Отже, функція f має дві критичні точки х1=-2,х2=1.

Оскільки похідна є квадратним тричленом з додатним коефіцієнтом при х2, то на інтервалах , а на інтервалі (-2;1) .

Похідна неперервна на R і при переході через критичну точку змінює знак на протилежний.

Оскільки при переході через критичну точку х=-2 похідна змінює знак з плюса на мінус, то в цій точці функція має локальний максимум.

.

При переході через точку х=1 похідна змінює знак з мінуса на плюс. Тому в цій точці функція f має локальний мінімум.


 

25. Умова опуклості або угнутості кривої.

Друга похідна. Опукла й увігнута функція.

Достатня умова ввігнутості (опуклості) функції.

Точка перегину.

Друга похідна. Якщо похідна f ' (x) функції f (x) диференційовна в точці (x0), то її похідна називається другою похідною функції f (x) у точці (x0), і позначається f '' (x0).

 

Функція f (x) називається опуклою на інтервалі (a, b), якщо її графік на цьому інтервалі лежить нижче дотичної, проведеної до кривої y = f (x) у будь-якій точці (x0, f (x0)), x0 (a, b).

Функція f (x) називається ввігнутою на інтервалі (a, b), якщо її графік на цьому інтервалі лежить вище дотичної, проведеної до кривої y = f (x) у будь-якій точці (x0, f (x0)), x0 (a, b).

 

Достатня умова ввігнутості (опуклості) функції.

Нехай функція f (x) двічі диференційовна (має другу похідну) на інтервалі (a, b), тоді:

якщо f '' (x) > 0 для будь-якого x (a, b), то функція f (x) є ввігнутою на інтервалі (a, b);

якщо f '' (x) < 0 для будь-якого x (a, b), то функція f (x) є опуклою на інтервалі (a, b).

 

Точка, при переході через яку функція міняє опуклість на ввігнутість або навпаки, називається точкою перегину. Звідси треба, що якщо в точці перегину x0 існує друга похідна f '' (x0), те f '' (x0) = 0.

   
П р и м е р. Розглянемо графік функції y = x3 : Ця функція є ввігнутою при x > 0 й опуклої при x < 0. Справді, y'' = 6x, але 6x > 0 при x > 0 й 6x < 0 при x < 0, отже, y'' > 0 при x > 0 й y'' < 0 при x < 0, звідки треба, що функція y = x3 є ввігнутою при x > 0 й опуклої при x < 0. Тоді x = 0 є точкою перегину функції y = x3.

 

26. Асимптоти кривої. Побудова графіка функції.







Date: 2015-09-18; view: 574; Нарушение авторских прав



mydocx.ru - 2015-2026 year. (0.901 sec.) Все материалы представленные на сайте исключительно с целью ознакомления читателями и не преследуют коммерческих целей или нарушение авторских прав - Пожаловаться на публикацию