Главная Случайная страница


Полезное:

Как сделать разговор полезным и приятным Как сделать объемную звезду своими руками Как сделать то, что делать не хочется? Как сделать погремушку Как сделать так чтобы женщины сами знакомились с вами Как сделать идею коммерческой Как сделать хорошую растяжку ног? Как сделать наш разум здоровым? Как сделать, чтобы люди обманывали меньше Вопрос 4. Как сделать так, чтобы вас уважали и ценили? Как сделать лучше себе и другим людям Как сделать свидание интересным?


Категории:

АрхитектураАстрономияБиологияГеографияГеологияИнформатикаИскусствоИсторияКулинарияКультураМаркетингМатематикаМедицинаМенеджментОхрана трудаПравоПроизводствоПсихологияРелигияСоциологияСпортТехникаФизикаФилософияХимияЭкологияЭкономикаЭлектроника






с правой частью специального вида





Рассмотрим линейное дифференциальное уравнение второго порядка с постоянными коэффициентами

(2.10),

где непрерывная на функция, .

Поскольку фундаментальная система решений соответствующего линейного однородного уравнения (2.11) всегда может быть найдена, задача интегрирования линейного неоднородного уравнения (2.10) сводится к задаче построения частного решения этого уравнения. Частное решение уравнения (2.10) всегда можно построить, применяя метод вариации произвольной постоянной (метод Лагранжа).

Если же правая часть уравнения (2.10) имеет специальный вид

(2.15),

где – действительные постоянные, - многочлены, соответственно степени и с действительными известными коэффициентами, то частное решение может быть найдено методом неопределенных коэффициентов, т.е. нахождение частного решения уравнения (2.10) сводится по существу к алгебраическим операциям (применение же метода Лагранжа приводит к громоздким интегралам). Будем называть степенью правой части : , а контрольным числом . Через обозначим кратность контрольного числа правой части, как корня характеристического уравнения.

Для уравнения (2.10) , или . Тогда линейное неоднородное уравнение имеет частное решение вида

где - многочлены степени с неизвестными коэффициентами, которые следует определить.

Пример 1. 1) Найти контрольное число , кратность контрольного числа и степень правой части уравнения , если - корни характеристического уравнения для случаев и записать вид частного решения уравнения для случаев а) - е):

 

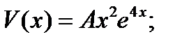
а) ; г) ;
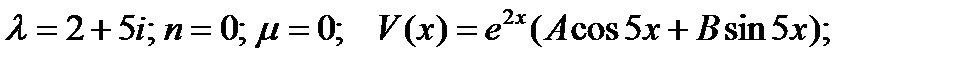
б) ; д) ;
в) ; е) .

 

Решение:

а)
б)
в)
г)
д)
е)

 

Пример 2. Найти общее решение уравнения

(2.16).

Решение: Общее решение уравнения находится по формуле (2.12):

.

Характеристическое уравнение:

Степень правой части , контрольное число – корень характеристического уравнения кратности 2, поэтому и

Поставив , , в (2.16) получаем:

= ;

= .

и

Ответ:

 

 







Date: 2015-09-19; view: 527; Нарушение авторских прав



mydocx.ru - 2015-2026 year. (2.472 sec.) Все материалы представленные на сайте исключительно с целью ознакомления читателями и не преследуют коммерческих целей или нарушение авторских прав - Пожаловаться на публикацию