Главная Случайная страница


Полезное:

Как сделать разговор полезным и приятным Как сделать объемную звезду своими руками Как сделать то, что делать не хочется? Как сделать погремушку Как сделать так чтобы женщины сами знакомились с вами Как сделать идею коммерческой Как сделать хорошую растяжку ног? Как сделать наш разум здоровым? Как сделать, чтобы люди обманывали меньше Вопрос 4. Как сделать так, чтобы вас уважали и ценили? Как сделать лучше себе и другим людям Как сделать свидание интересным?


Категории:

АрхитектураАстрономияБиологияГеографияГеологияИнформатикаИскусствоИсторияКулинарияКультураМаркетингМатематикаМедицинаМенеджментОхрана трудаПравоПроизводствоПсихологияРелигияСоциологияСпортТехникаФизикаФилософияХимияЭкологияЭкономикаЭлектроника






Линейные однородные уравнения с постоянными коэффициентами





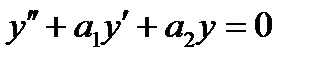
Рассмотрим уравнение (2.9)

где .

Найдем решение д.у. (2.9) в виде , получаем . Т.к. , то для нахождения решения выпишем квадратное уравнение, которое называется характеристическим для уравнения (2.9)

.

Пусть , т.е. – действительные и различные, тогда частные решения , будут составлять Ф.С.Р., и общее решение находим по формуле (2.8):

.

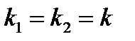
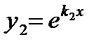
Если , т.е. , то , составляют Ф.С.Р. и общее решение имеет вид

.

Если корни уравнения (2.9) являются комплексно сопряженными , и частные решения имеют вид

, .

Общее решение записывается по формуле (2.8):

.

Пример 1. Найти общее решение д.у. .

Решение: Составим характеристическое уравнение и найдем Ф.С.Р.

уравнения: , .

Тогда общее решение: .

Ответ: .

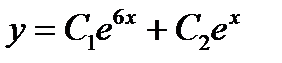
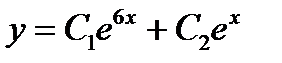
Пример 2. Найти общее решение д.у. .

Решение: Составим характеристическое уравнение и найдем Ф.С.Р

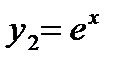
уравнения: , .

Тогда общее решение .

Ответ: .

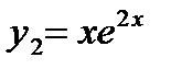
Пример 3. Найти общее решение д.у. .

Решение: Составим характеристическое уравнение и найдем Ф.С.Р

уравнения: , .

Тогда общее решение .

Ответ: .

 







Date: 2015-09-19; view: 376; Нарушение авторских прав



mydocx.ru - 2015-2026 year. (0.703 sec.) Все материалы представленные на сайте исключительно с целью ознакомления читателями и не преследуют коммерческих целей или нарушение авторских прав - Пожаловаться на публикацию