Главная Случайная страница


Полезное:

Как сделать разговор полезным и приятным Как сделать объемную звезду своими руками Как сделать то, что делать не хочется? Как сделать погремушку Как сделать так чтобы женщины сами знакомились с вами Как сделать идею коммерческой Как сделать хорошую растяжку ног? Как сделать наш разум здоровым? Как сделать, чтобы люди обманывали меньше Вопрос 4. Как сделать так, чтобы вас уважали и ценили? Как сделать лучше себе и другим людям Как сделать свидание интересным?


Категории:

АрхитектураАстрономияБиологияГеографияГеологияИнформатикаИскусствоИсторияКулинарияКультураМаркетингМатематикаМедицинаМенеджментОхрана трудаПравоПроизводствоПсихологияРелигияСоциологияСпортТехникаФизикаФилософияХимияЭкологияЭкономикаЭлектроника






Метод вариации произвольной постоянной





Рассмотрим уравнения

(2.10),

(2.11)

Общее решение неоднородного уравнения (2.10) находим по формуле

, (2.12)

где - общее решение однородного уравнения (2.11), а - частное решение неоднородного уравнения (2.10).

Пусть найдена фундаментальная система решений и общее решение соответствующего однородного д.у. (2.11). Тогда частное решение уравнения (2.10) может быть найдено с помощью метода вариации произвольной постоянной (метод Лагранжа).

Сущность метода состоит в следующем. Частное решение неоднородного уравнения (2.10) ищется в виде (2.12), где заменены неизвестными функциями , т.е.

(2.13).

Можно доказать, что функции находятся из системы д.у.:

(2.14)

Замечание: Системой (2.14) можно пользоваться, если коэффициент при в (2.10) тождественно равен единице. В противном случае уравнение нужно привести к указанному виду.

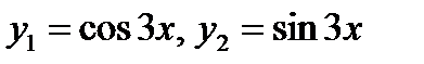
Система (2.14) имеет единственное решение

т.к. определитель системы не равен нулю при в силу линейной независимости и .

 

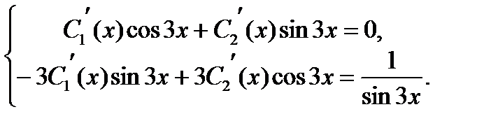
Пример 1. Найти общее решение дифференциального уравнения .

Решение: Решая характеристическое уравнение , находим .

Соответственно, общее решение линейного однородного д.у. имеет вид . Для нахождения частного решения

исходного дифференциального уравнения найдем из системы

Решая эту систему, находим . Интегрируя д.у. с разделяющимися переменными, получаем

,

и

.

Тогда общее решение исходного д.у. имеет вид

.

Ответ: .

 







Date: 2015-09-19; view: 455; Нарушение авторских прав



mydocx.ru - 2015-2026 year. (0.949 sec.) Все материалы представленные на сайте исключительно с целью ознакомления читателями и не преследуют коммерческих целей или нарушение авторских прав - Пожаловаться на публикацию