Главная Случайная страница


Полезное:

Как сделать разговор полезным и приятным Как сделать объемную звезду своими руками Как сделать то, что делать не хочется? Как сделать погремушку Как сделать так чтобы женщины сами знакомились с вами Как сделать идею коммерческой Как сделать хорошую растяжку ног? Как сделать наш разум здоровым? Как сделать, чтобы люди обманывали меньше Вопрос 4. Как сделать так, чтобы вас уважали и ценили? Как сделать лучше себе и другим людям Как сделать свидание интересным?


Категории:

АрхитектураАстрономияБиологияГеографияГеологияИнформатикаИскусствоИсторияКулинарияКультураМаркетингМатематикаМедицинаМенеджментОхрана трудаПравоПроизводствоПсихологияРелигияСоциологияСпортТехникаФизикаФилософияХимияЭкологияЭкономикаЭлектроника






Линейные дифференциальные уравнения





Д.у. первого порядка называется линейным, если оно имеет вид

(1.6)

Если , то уравнение называется линейным однородным.

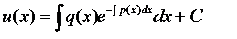
Решить линейное уравнение (1.6) можно методом Бернулли. Согласно этому методу решение уравнения (1.6) ищется в виде , где – некоторые неизвестные функции. Тогда . Подставляя эти выражения в уравнение (1.6) и группируя слагаемые, содержащие (или ), получим

,

. (1.7)

Пользуясь тем, что одна из неизвестных функций (например, ) может быть выбрана произвольно (), поскольку лишь произведение должно удовлетворять уравнению (1.6), функция выбирается так, чтобы она обращала в нуль коэффициент при в левой части уравнения (1.7), т.е.

(1.8)

Это уравнение с разделяющимися переменными относительно функции . Проинтегрировав его

,

получим .

За принимаем любое отличное от нуля частное решение уравнения (1.8): .

Поставляя найденную функцию в левую часть (1.7), получим уравнение с разделяющимися переменными относительно :

.

Решив его, найдем

Перемножая функции и , будем иметь

.

 

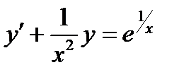
Пример 3. Найти общее решение дифференциального уравнения .

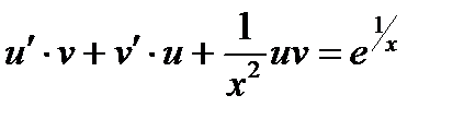
Решение: Согласно методу Бернулли , Подставим эти выражения в исходное уравнение

.

Сгруппируем члены, содержащие :

. (1.9)

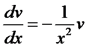
Функцию найдем из уравнения

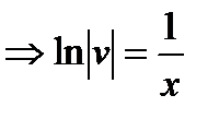
или ,

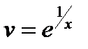
Разделяя переменные и интегрируя, имеем

, или .

Подставим найденное в уравнение (1.9):

или .

Откуда

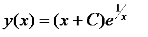
Перемножая и , получим общее решение

.

Ответ:







Date: 2015-09-19; view: 386; Нарушение авторских прав



mydocx.ru - 2015-2026 year. (0.164 sec.) Все материалы представленные на сайте исключительно с целью ознакомления читателями и не преследуют коммерческих целей или нарушение авторских прав - Пожаловаться на публикацию