Главная Случайная страница


Полезное:

Как сделать разговор полезным и приятным Как сделать объемную звезду своими руками Как сделать то, что делать не хочется? Как сделать погремушку Как сделать так чтобы женщины сами знакомились с вами Как сделать идею коммерческой Как сделать хорошую растяжку ног? Как сделать наш разум здоровым? Как сделать, чтобы люди обманывали меньше Вопрос 4. Как сделать так, чтобы вас уважали и ценили? Как сделать лучше себе и другим людям Как сделать свидание интересным?


Категории:

АрхитектураАстрономияБиологияГеографияГеологияИнформатикаИскусствоИсторияКулинарияКультураМаркетингМатематикаМедицинаМенеджментОхрана трудаПравоПроизводствоПсихологияРелигияСоциологияСпортТехникаФизикаФилософияХимияЭкологияЭкономикаЭлектроника






Уравнения, допускающие понижение порядка





Рассмотрим частные случаи уравнения (2.2), допускающие понижение порядка.

1) Уравнение вида .

Решение этого уравнения находится - кратным интегрированием.

Пример 1. Решить д.у. .

Решение: Интегрируя, получаем

,

.

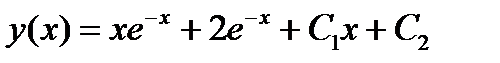
Общее решение д.у.: .

Ответ: .

2) Д.у., не содержащее явно искомой функции , т.е. уравнение вида

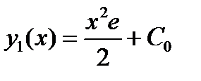
Порядок такого уравнения можно понизить, вводя новую неизвестную функцию , тогда . Получаем уравнение первого порядка . Решив его, получаем второе уравнение первого порядка .

Пример 2. Найти общее решение д.у. .

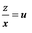
Решение: Обозначив , тогда и . Получили однородное уравнение первого порядка. Полагая , имеем . Если то и . Другие решения получаем при разделяя переменные и интегрируя, имеем

где . Тогда .

Далее ,

- общее решение.

Ответ: .

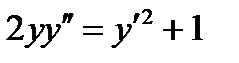
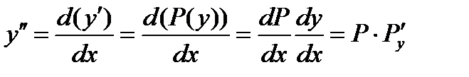
3) Д.у., не содержащие явно независимой переменной, т.е. уравнение вида .

Уравнения этого типа допускают понижение порядка, если положить , где – новая искомая функция нового переменного . По правилу дифференцирования сложной функции получим

.

Порядок уравнения понижается на единицу, т.е. приходим к уравнению первого порядка: .

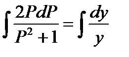
Если - решение этого уравнения, то для нахождения решаем второе уравнение первого порядка с разделяющимися переменными

.

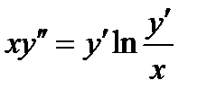
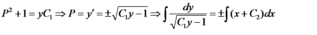
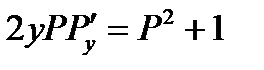
Пример 3. Найти общее решение д.у. .

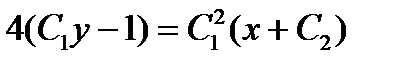
Решение: Т.к. в уравнении отсутствует независимая переменная , то, полагая , , получаем

.

Разделив переменные и интегрируя

, ,

, ,

, получаем общее решение д.у.:

.

Ответ: .

 

 







Date: 2015-09-19; view: 414; Нарушение авторских прав



mydocx.ru - 2015-2026 year. (0.095 sec.) Все материалы представленные на сайте исключительно с целью ознакомления читателями и не преследуют коммерческих целей или нарушение авторских прав - Пожаловаться на публикацию