Главная Случайная страница


Полезное:

Как сделать разговор полезным и приятным Как сделать объемную звезду своими руками Как сделать то, что делать не хочется? Как сделать погремушку Как сделать так чтобы женщины сами знакомились с вами Как сделать идею коммерческой Как сделать хорошую растяжку ног? Как сделать наш разум здоровым? Как сделать, чтобы люди обманывали меньше Вопрос 4. Как сделать так, чтобы вас уважали и ценили? Как сделать лучше себе и другим людям Как сделать свидание интересным?


Категории:

АрхитектураАстрономияБиологияГеографияГеологияИнформатикаИскусствоИсторияКулинарияКультураМаркетингМатематикаМедицинаМенеджментОхрана трудаПравоПроизводствоПсихологияРелигияСоциологияСпортТехникаФизикаФилософияХимияЭкологияЭкономикаЭлектроника






Решить дифференциальные уравнения





Министерство образования и науки

Российской Федерации

Федеральное государственное автономное образовательное учреждение высшего профессионального образования

Национальный исследовательский ядерный университет «МИФИ»

Волгодонский инженерно-технический институт – филиал НИЯУ МИФИ

 

 

ДИФФЕРЕНЦИАЛЬНЫЕ УРАВНЕНИЯ

Индивидуальные домашние задания и методические указания для их выполнения

по курсу «Дифференциальные уравнения и теория рядов»

для студентов 2-го курса направления «Информационные системы и технологии»

 

Волгодонск 2014

 

 

УДК 811.111-36 (076.5)

Ф 947

 

Рецензент д.т.н., проф. Сысоев Ю.С.

 

Составители: Батаков А.И., Лисичкина О.М., Чабанова Н.И.

 

 

Дифференциальные уравнения. Индивидуальные задания и методические указания для их выполнения/ А.И. Батаков, О.М. Лисичкина., Н.И. Чабанова. – ВИТИ НИЯУ МИФИ. – Волгодонск, 2014. – 37с.

Предназначено для студентов 2-го курса направления «Информационные системы и технологии»

 

 

© ВИТИ НИЯУ МИФИ, 2014

© Коллектив авторов, 2014

 

 

Предисловие.

В целях лучшего усвоения курса математики и интенсификации самостоятельной работы студентов в соответствии с учебными планами на всех направлениях Волгодонского инженерно-технического института (филиала) НИЯУ МИФИ предусмотрено выполнение индивидуальных домашних заданий (ИДЗ).

В настоящей методической разработке представлены индивидуальные задания для студентов 2 курса по разделу «Дифференциальные уравнения» и методические указания к ним.

Номер варианта индивидуален для каждого студента и определяется преподавателем, ведущим практические занятия. Работа выполняется студентом на отдельных листах.

Решение задач студенты представляют в письменной форме с подробным изложением и указанием, используемых при этом, основных теоретических положений. На преподавателя, ведущего практические занятия, возлагается обязанность по систематическому контролю самостоятельной работы студентов, по организации ритмичности в выполнении ими ИДЗ, что снимет дополнительные перегрузки их в конце семестра.

В определённые преподавателем сроки частично или полностью выполненные ИДЗ сдаются на проверку.

Студенты, сдавшие в срок отчёт по ИДЗ, допускаются к сдаче экзамена или зачёта.

 

 

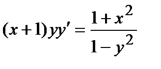
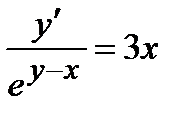
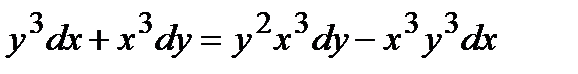
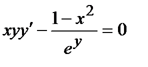
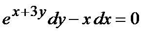
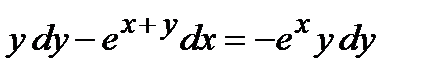
Решить дифференциальные уравнения

 

1) а) ; б) ;

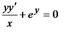
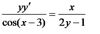
2) а) ; б) ;

3) а) ; б) ;

4) а) ; б) ;

5) а) ; б) ;

6) а) ; б) ;

7) а) ; б) ;

8) а) ; б) ;

9) а) ; б) ;

10) а) ; б) ;

11) а) ; б) ;

12) а) ; б) ;

13) а) ; б) ;

14) а) ; б) ;

15) а) ; б) ;

16) а) ; б) ;

17) а) ; б) ;

18) а) ; б) ;

19) а) ; б) ;

20) а) ; б) ;

21) а) ; б) ;

22) а) ; б) ;

23) а) ; б) ;

24) а) ; б) ;

25) а) ; б) ;

26) а) ; б) ;

27) а) ; б) ;

28) а) ; б) ;

29) а) ; б) ;

30) а) ; б) .







Date: 2015-09-19; view: 424; Нарушение авторских прав



mydocx.ru - 2015-2026 year. (1.397 sec.) Все материалы представленные на сайте исключительно с целью ознакомления читателями и не преследуют коммерческих целей или нарушение авторских прав - Пожаловаться на публикацию