Главная Случайная страница


Полезное:

Как сделать разговор полезным и приятным Как сделать объемную звезду своими руками Как сделать то, что делать не хочется? Как сделать погремушку Как сделать так чтобы женщины сами знакомились с вами Как сделать идею коммерческой Как сделать хорошую растяжку ног? Как сделать наш разум здоровым? Как сделать, чтобы люди обманывали меньше Вопрос 4. Как сделать так, чтобы вас уважали и ценили? Как сделать лучше себе и другим людям Как сделать свидание интересным?


Категории:

АрхитектураАстрономияБиологияГеографияГеологияИнформатикаИскусствоИсторияКулинарияКультураМаркетингМатематикаМедицинаМенеджментОхрана трудаПравоПроизводствоПсихологияРелигияСоциологияСпортТехникаФизикаФилософияХимияЭкологияЭкономикаЭлектроника






Задача 1.5 (4)





Даны уравнения движения точки:

; (х, у – м; t – с). (з)

1. Определить уравнение траектории точки.

2. Определить скорость и ускорение точки при t = 1 с.

  1. Построить траекторию и указать полученные векторы скорости и ускорения на чертеже.

Решение

1. Для того чтобы получить уравнение траектории, необходимо из уравнений движения (з) исключить время. Запишем эти уравнения в виде

, .

Возведем оба уравнения в квадрат, вычтем второе из первого и получим уравнение траектории:

x2 – y2 = 42. (и)

Это уравнение равнобочной гиперболы, полуось которой b = 4 м.

2. Определим проекции скорости

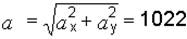
В заданный момент времени t = 1с, V1x = 4,68 м/с, V= 6,16 м/с
модуль скорости м/с.

Определим проекции ускорения

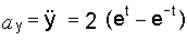
м/с2, м/с2.

В момент времени t = 1с, а 1x = 6,16 м/с2, а = 4,68 м/с2 модуль ускорения м/с2.

3. Построим траекторию точки по уравнению (и). Действительной осью гиперболы является ось х (рис. 1.6). На траектории найдем точку М1, соответствующую моменту времени t = 1 с. Координаты этой точки: x1 = 2(e + e-1) = 6,16 м; y1 = 2(e – e-1) = 4,68 м; M1 (6,16; 4,68).

Рис. 1.6

Вектор скорости построим следующим образом: через точку М1 проведем оси и , параллельные соответствующим осям x и y; вдоль этих осей от точки М1 отложим отрезки, равные проекциям V1x и V1y (с учетом их знаков). Диагональ прямоугольника, построенного на этих отрезках, есть вектор` V1. Вектор ускорения` a 1 строим подобным образом: от точки М1 вдоль оси отложим отрезок, равный проекции a 1x, а вдоль оси отложим отрезок a 1y. Затем на этих отрезках строим прямоугольник, диагональ которого есть вектор` a 1. Вектор скорости` V1 должен быть направлен по касательной к траектории в точке M1, а вектор ускорения` a 1 должен быть направлен от точки M1 внутрь кривой. Задача 1.6 (5)

Рис. 1.7 Даны уравнения движения точки М шатуна АВ кривошипно-ползунного механизма (рис. 1.7): (х, у – м; t – с). (к)
  1. Определить уравнение траектории точки.
  2. Определить скорость и ускорение точки в момент, когда она пересечет прямую y = 20 см.

Решение

1. Чтобы определить уравнение траектории, следует исключить время из уравнений движения (к). Учитывая, что

,

получим .

Траектория представляет собой эллипс с полуосями 20 см и 40 см.

2. Определим время Т, когда точка пересечет прямую у = 20 см, первое уравнение системы (к) в этот момент примет вид:
20 = 40 sin2p t, отсюда следует с.

Найдем величины скорости и ускорения по значениям их проекций в момент времени с:

см/с; см/с.

Модуль скорости см/с.

Проекции ускорения

см/с2;

см/с2.

Модуль ускорения

см/с2.







Date: 2015-09-18; view: 757; Нарушение авторских прав



mydocx.ru - 2015-2026 year. (0.754 sec.) Все материалы представленные на сайте исключительно с целью ознакомления читателями и не преследуют коммерческих целей или нарушение авторских прав - Пожаловаться на публикацию