Главная Случайная страница


Полезное:

Как сделать разговор полезным и приятным Как сделать объемную звезду своими руками Как сделать то, что делать не хочется? Как сделать погремушку Как сделать так чтобы женщины сами знакомились с вами Как сделать идею коммерческой Как сделать хорошую растяжку ног? Как сделать наш разум здоровым? Как сделать, чтобы люди обманывали меньше Вопрос 4. Как сделать так, чтобы вас уважали и ценили? Как сделать лучше себе и другим людям Как сделать свидание интересным?


Категории:

АрхитектураАстрономияБиологияГеографияГеологияИнформатикаИскусствоИсторияКулинарияКультураМаркетингМатематикаМедицинаМенеджментОхрана трудаПравоПроизводствоПсихологияРелигияСоциологияСпортТехникаФизикаФилософияХимияЭкологияЭкономикаЭлектроника






Задача 1.8 (7)





По заданным уравнениям движения точки:

; (х, у – м; t – с) (н)

найти ее касательное и нормальное ускорение, а также радиус кривизны траектории для заданного момента времени t1 = 0,5 p с.

Решение

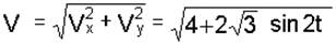
Заданные уравнения движения точки (н) позволяют найти проекции скорости точки, м/с,

;

.

Модуль скорости, м/с,

. (о)

В момент времени t1 = 0,5 p с V1 = 2 м/с.

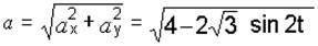
Проекции ускорения точки, м/с2:

.

Модуль полного ускорения, м/с2

. (п)

В момент времени t1 = 0,5 p са = 2 м/с2.

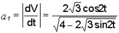
Зная выражение скорости, как функции времени t (о), определим модуль касательного ускорения точки, м/с2, по формуле (1.5)

. (р)

В момент с м/с2.

По полному ускорению (п) и касательному ускорению (р) найдем модуль нормального ускорения точки для с, учитывая формулу (1.7)

м/с2.

Нормальное ускорение а n1 и радиус кривизны траектории r 1 связаны зависимостью (1.6), из которой следует, что при с

м.







Date: 2015-09-18; view: 467; Нарушение авторских прав



mydocx.ru - 2015-2026 year. (0.581 sec.) Все материалы представленные на сайте исключительно с целью ознакомления читателями и не преследуют коммерческих целей или нарушение авторских прав - Пожаловаться на публикацию