Главная Случайная страница


Полезное:

Как сделать разговор полезным и приятным Как сделать объемную звезду своими руками Как сделать то, что делать не хочется? Как сделать погремушку Как сделать так чтобы женщины сами знакомились с вами Как сделать идею коммерческой Как сделать хорошую растяжку ног? Как сделать наш разум здоровым? Как сделать, чтобы люди обманывали меньше Вопрос 4. Как сделать так, чтобы вас уважали и ценили? Как сделать лучше себе и другим людям Как сделать свидание интересным?


Категории:

АрхитектураАстрономияБиологияГеографияГеологияИнформатикаИскусствоИсторияКулинарияКультураМаркетингМатематикаМедицинаМенеджментОхрана трудаПравоПроизводствоПсихологияРелигияСоциологияСпортТехникаФизикаФилософияХимияЭкологияЭкономикаЭлектроника






Задача 1.3 (2)





Даны уравнения движения точки:

; (х, у – см; t – с). (г)

1. Определить уравнение траектории и построить ее.

2. Определить начальное положение точки на ее траектории.

3. Найти закон движения точки по траектории s = s(t), принимая за начало отсчета расстояний начальное положение точки.

  1. Определить время T прохождения точкой полной окружности.

Решение

Рис. 1.4   1. Чтобы найти уравнение траектории точки необходимо из уравнений движения (г) исключить время t. Для этого уравнения движения (г) разрешим относительно и и возведем полученные результаты в квадрат ; ,

сложим эти уравнения и после преобразования получим

.

Это уравнение окружности радиуса R = 5 см, центр окружности расположен в точке С (-2,5; 5) (рис. 1.4).

2. Для определения начального положения точки подставим значение времени t = 0 в уравнения (г)

х0 = 5 соs0 – 2,5 = 2,5 см; у0 = 5 sin0 – 5 = 5 см;

Точка при t = 0 занимает положение М0 (2,5; 5).

3. Для определения закона движения точки по траектории воспользуемся формулой (1.8). За начало отсчета координаты s примем точку M0. Из системы уравнений (г) видно, что с увеличением времени t от нуля x уменьшается, а y увеличивается.

Такое возможно, если после выхода из начального положения точка будет двигаться по окружности против часовой стрелки. Это направление движения точки примем за положительное направление отсчета координаты s (см. стрелку на рис. 1.4), а в формуле (1.8) перед интегралом оставим знак “плюс”:

, где ; .

Отсюда

; . (д)

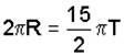
4. Определим время Т прохождения точкой полной окружности.
Т – время, по истечении которого s в формуле (д) станет равным длине окружности 2p R:

.

Отсюда с.







Date: 2015-09-18; view: 702; Нарушение авторских прав



mydocx.ru - 2015-2026 year. (1.515 sec.) Все материалы представленные на сайте исключительно с целью ознакомления читателями и не преследуют коммерческих целей или нарушение авторских прав - Пожаловаться на публикацию