Главная Случайная страница


Полезное:

Как сделать разговор полезным и приятным Как сделать объемную звезду своими руками Как сделать то, что делать не хочется? Как сделать погремушку Как сделать так чтобы женщины сами знакомились с вами Как сделать идею коммерческой Как сделать хорошую растяжку ног? Как сделать наш разум здоровым? Как сделать, чтобы люди обманывали меньше Вопрос 4. Как сделать так, чтобы вас уважали и ценили? Как сделать лучше себе и другим людям Как сделать свидание интересным?


Категории:

АрхитектураАстрономияБиологияГеографияГеологияИнформатикаИскусствоИсторияКулинарияКультураМаркетингМатематикаМедицинаМенеджментОхрана трудаПравоПроизводствоПсихологияРелигияСоциологияСпортТехникаФизикаФилософияХимияЭкологияЭкономикаЭлектроника






Геометрия эвклидовых пространств





Теорема 1. (Неравенство Буняковского Коши или неравенство Шварца): .

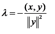
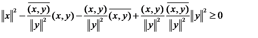
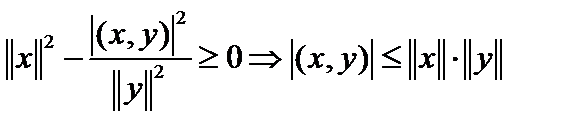
. 1. Действительный случай. Пусть , то есть . Это квадратное неравенство относительно выполнено если его дискриминант , то есть .

2. Комплексный случай. Пусть . Подставив его в неравенство, получим , то есть .

Теорема 2. (Неравенство Минковского или неравенство треугольника): .

. , но . Тогда .

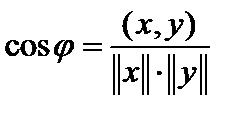
Определение 2. Пусть . Углом между элементами и называют число , для которого выполняется равенство .

Определение 3. Два элемента произвольного евклидова пространства называются ортогональными, если скалярное произведение этих элементов равно нулю.

Ясно, что и ортогональны если и только если .

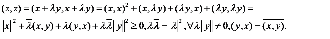
Теорема 3. (Равенство параллелограмма):

.

.

Следствие: .

Комментарий. В параллелограмме, построенном на векторах , где обычное геометрическое пространство, диагонали задаются векторами и , а как учат в восьмом классе, сумма квадратов диагоналей параллелограмма равна сумме квадратов всех его сторон. Равенство параллелограмма является бесконечномерным обобщением этого факта. При неэвклидовых нормах равенство параллелограмма не выполняется.

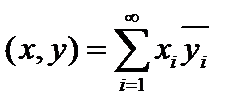
Пример. В линейном пространстве последовательностей комплексных чисел , скалярное произведение . Аксиомы скалярного произведения очевидны. Ряды сходятся по условию, а из неравенства  Буняковского–Коши

 







Date: 2015-09-03; view: 513; Нарушение авторских прав



mydocx.ru - 2015-2026 year. (1.114 sec.) Все материалы представленные на сайте исключительно с целью ознакомления читателями и не преследуют коммерческих целей или нарушение авторских прав - Пожаловаться на публикацию