Главная Случайная страница


Полезное:

Как сделать разговор полезным и приятным Как сделать объемную звезду своими руками Как сделать то, что делать не хочется? Как сделать погремушку Как сделать так чтобы женщины сами знакомились с вами Как сделать идею коммерческой Как сделать хорошую растяжку ног? Как сделать наш разум здоровым? Как сделать, чтобы люди обманывали меньше Вопрос 4. Как сделать так, чтобы вас уважали и ценили? Как сделать лучше себе и другим людям Как сделать свидание интересным?


Категории:

АрхитектураАстрономияБиологияГеографияГеологияИнформатикаИскусствоИсторияКулинарияКультураМаркетингМатематикаМедицинаМенеджментОхрана трудаПравоПроизводствоПсихологияРелигияСоциологияСпортТехникаФизикаФилософияХимияЭкологияЭкономикаЭлектроника






Определения и примеры





Определение 1. Пусть задана линейная структура , где , поле совпадает или с полем действительных чисел или с полем комплексных чисел . Говорят, что на линейной структуре задано скалярное произведение , если указан функционал, ставящий в соответствие этим элементам действительное или комплексное число, удовлетворяющее аксиомам (легко доказываемым для обычных геометрических векторов): 1) и (линейность по первому аргументу); 2) где черта означает комплексное сопряжение (эрмитова симметричность); 3) ,причем (унитарность скалярного произведения). Действительное линейное пространство со скалярным произведением называется эвклидовым пространством , комплексное унитарным.

Комментарий. В определении 1 мы абстрагируемся не только от природы изучаемых элементов и конкретного вида правил образования суммы элементов и произведения элемента на действительное число, но и от конкретного вида правила образования скалярного произведения двух элементов. Важно лишь, чтобы указанные правила удовлетворяли восьми аксиомам. Бесконечномерныеэвклидовы пространства часто называют предгильбертовыми. В эвклидовом пространствескалярное произведение коммутативно, то есть и линейно и по второму аргументу. Сложнее с унитарным пространством. Здесь .

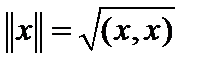
Определение 2. Введение на линейной структуре скалярного произведения позволяет определить в эвклидовом пространстве эвклидову норму его элементов: (как аналог длины вектора).

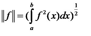
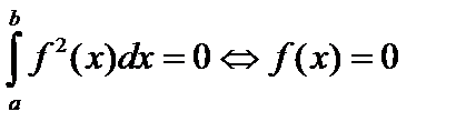
Пример. В пространстве непрерывных функций определим скалярное произведение . Покажем, что это скалярное произведение.

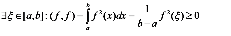
Из свойств интеграла очевидно выполнение первых двух аксиом. Покажем унитарность. По теореме о среднем . Покажем, что . Если , то и . Покажем обратное. Пусть . Покажем, что . . Пусть . Тогда по теореме о сохранении знака непрерывной функции . Но тогда . Эвклидова норма элементов в пространстве .

Комментарий. Скалярное произведение в этом пространстве можно определить, например, как или как . Так как скалярное произведение можно ввести различными способами, то и нормы тоже отличаются между собой (удава можно мерить и мартышками и попугаями).







Date: 2015-09-03; view: 444; Нарушение авторских прав



mydocx.ru - 2015-2026 year. (0.425 sec.) Все материалы представленные на сайте исключительно с целью ознакомления читателями и не преследуют коммерческих целей или нарушение авторских прав - Пожаловаться на публикацию