Главная Случайная страница


Полезное:

Как сделать разговор полезным и приятным Как сделать объемную звезду своими руками Как сделать то, что делать не хочется? Как сделать погремушку Как сделать так чтобы женщины сами знакомились с вами Как сделать идею коммерческой Как сделать хорошую растяжку ног? Как сделать наш разум здоровым? Как сделать, чтобы люди обманывали меньше Вопрос 4. Как сделать так, чтобы вас уважали и ценили? Как сделать лучше себе и другим людям Как сделать свидание интересным?


Категории:

АрхитектураАстрономияБиологияГеографияГеологияИнформатикаИскусствоИсторияКулинарияКультураМаркетингМатематикаМедицинаМенеджментОхрана трудаПравоПроизводствоПсихологияРелигияСоциологияСпортТехникаФизикаФилософияХимияЭкологияЭкономикаЭлектроника






Алгебраические структуры





Определение 1. Пусть М и S два множества произвольной природы, a x,y,z -три элемента, быть может, разных множеств.

Правило (закон), по которому упорядоченной паре элементов х и у ставится в соответствие элемент z (один и только один), называется бинарной операцией или законом композиции, результат этой операции (элемент z) называется композицией, а элементы х и у называются операнды.

Определение 2. Если (одному из множеств), то закон композиции называется внутренним а множество М называется замкнутым относительно этого закона (этой бинарной операции).

Определение 3. Если операнды принадлежат разным множествам, а композиции одному из них (например ), то такая бинарная операция называется внешним законом.

Комментарий. На множестве М и S может быть определено несколько законов, но все многообразие ситуаций реализуется в простейшем случае, когда их не более двух. Один из них (произвольный) называется аддитивным и обозначается , другой мультипликативный и обозначается .

Множество натуральных чисел с обычными операциями сложения, умножения, возведения в степень - примеры внутренних законов, множество действительных чисел и множество векторов в конечномерном пространстве с операцией произведения числа на вектор внешний закон. В этом пункте нас будут интересовать только внутренние законы композиции.

Определение 4. А лгебраической структурой называется множество (носитель структуры) М с заданным на нём одним или двумя внутренними законами композиции, которые обозначаются и и часто называются “сложение” и “умножение”.

Комментарий. Эти законы композиции можно наделить или нет определенными свойствами, которые, в свою очередь, задают ту или иную структуру множества М, которое называется носителем а лгебраической структуры. Имея дело с а лгебраической структурой (АС), следует соблюдать три правила.

1. Природа и характер носителя АС не обсуждается.

2. Природа и характер операций, порождающих данную АС на
множестве М,не обсуждается.

3. Все рассуждения поводятся только на абстрактном уровне. На
уровне интерпретаций (примеров конкретных АС) утверждение может
быть верно, а на абстрактном уровне нет. Обратное неверно.

 

Свойства внутренних законов композиции:

1. коммутативность.

2. ассоциативность.

3. дистрибутивность
слева операции относительно операции .

4. дистрибутивность справа операции относительно операции .

Аналогично определяется дистрибутивность относительно операции .

Примеры. 1. Множество действительных чисел с обычными операциями сложения и умножения. Эти операции коммутативны и ассоциативны. Кромке того и , то есть умножение дистрибутивно справа и слева относительно сложения. Но и , то есть сложение не дистрибутивно ни справа, ни слева относительно операции умножения.

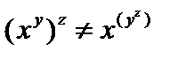
2. операция возведения в степень не ассоциативна, не коммутативна (, , но дистрибутивна справа относительно операции умножения () и вообще не имеет смысла дистрибутивность слева относительно умножения.

3. Операции и для множеств взаимно дистрибутивны относительно друг друга, ассоциативны и коммутативны.

 

Комментарий. Законы композиции наделяют элементы множества М некоторыми свойствами, верными или нет только при этих законах. Другими словами, на множестве М при действии данного закона с его свойствами появляются выделенные элементы, т.е. оно становится структуированным (откуда и понятие АС).

 

Определение 5. Элемент называется нейтральным относительно данного закона , если .

Примеры. Ноль на множествах при сложении, единица при умножении, при объединении и при пересечении множеств.

Ясно, что его может и не быть, например, на множестве , или нейтральный элемент фактически может быть не определенным элементом множества, а образовывать целый класс элементов этого множества. Рассмотрим, например, множество остатков от деления натурального числа на 3 или, как говорят "вычетов по модулю три". Это множество состоит из классов чисел Зададим на этом множестве операцию + с помощью таблицы Кэли (способ задания операций для конечных множеств или классов множеств, заключающийся в непосредственном перечислении результатов операции).

+ К0 К1 К2
К0 К0 К1 К2
К1 К1 К2 К0
К2 К2 К0 К1

Видно, что , , . Элемент К0- нейтральный, но фактически он представляет собой бесконечное множество натуральных чисел, нацело делящихся на три.

Теорема 1. Если нейтральный элемент есть, то он единственен.


аа. Пусть два нейтральных элемента относительно операции . Тогда . Положив в первом равенстве , получим . Положив во втором равенстве , получим , то есть .■

Определение 6. Пусть множество М содержит нейтральный элемент относительно операции . Элемент называется симметричным (обратным, противоположным) элементу , если .

Примеры. На множестве (Z,+) нейтральный элемент , а симметричным является элемент , на множестве нейтральный элемент , но не все имеет симметричный элемент (, то есть элемент не имеет симметричного), на множестве нейтральный элемент , а симметричного нет.

Естественно, нейтральный элемент группоида симметричен, самому себе, т.к. по определению как нейтрального так и симметричного элемента если , тогда , , то есть .

Определяя на множестве произвольной природы М один или два закона композиции, наделяя эти законы какими-то из перечисленных свойств и задавая структуру М относительно этих свойств, мы получим различные АС, перечисленные в таблице, задающей аксиомы АС.

 

 

 

  Название АС I закон (аддитивный) II закон мультипликативный)
ассо-циа-тив-ность ком-мута-тив- ность Нейт-раль-ный сим- мет- ричный ассо-циа-тив-ность ком-мута-тив- ность Нейт-раль-ный сим- мет- ричный
  Полугруппа X              
  Абелева полугруппа X X            
  Абелева полугруппа с нулем X X X          
  Группа X   X X        

 

  Абелева группа X X X X        
  Кольцо X X X X X      
  Абелево кольцо X X X X X X    
  Абелево кольцо с единицей X X X X X X X  
  Тело X X X X X   X X
  Поле X X X X X X X X

Значёк Х означает, что данный закон обладает этими свойствами, а множество М имеет относительно этого закона соответствующие элементы. При этом полагается, что

1. Мультипликативный закон, если он определен,
дистрибутивен слева и справа относительно аддитивного.

2. Симметричный элемент мультипликативного закона
определен для всех элементов носителя АС (множества М),
кроме нейтрального относительно аддитивного закона.

 







Date: 2015-09-03; view: 1026; Нарушение авторских прав



mydocx.ru - 2015-2026 year. (0.372 sec.) Все материалы представленные на сайте исключительно с целью ознакомления читателями и не преследуют коммерческих целей или нарушение авторских прав - Пожаловаться на публикацию