Примеры линейных структур
Два тривиальных пространства: вещественные числа над полем вещественных чисел и нулевое пространство, состоящее из одного нулевого элемента.
Вещественные числа над телом рациональных чисел; вещественные числа над полем комплексных чисел не образуют векторное пространство (умножение комплексного числа на действительное есть число комплексное).
Комплексные числа над полем вещественных чисел.
Полиномы с степени не выше чем n над полем вещественных чисел.
Множество конечномерных линейных операторов.
Множество квадратных матриц.
Множество геометрических векторов на плоскости или в 3-мерном пространстве с обычным понятием равенства (совпадение при параллельном переносе) и обычными операциями сложения векторов и умножением вектора на число.
Множество векторов пространства и , то есть множества, состоящие из всевозможных (упорядоченных) наборов из n чисел (соответственно -- действительных или комплексных).
Множество всех непрерывных на заданном промежутке [a, b] функций. Это пространство можно рассматривать как линейное, если определить сумму элементов и умножение на вещественное число обычным образом. Нулевым элементом этого пространства является функция, тождественно равная нулю.
Последовательности вещественных чисел над полем вещественных чисел, удовлетворяющие условию .
Расширение поля как линейное пространство. Пусть поле включено в поле , то есть . Тогда поле можно рассматривать как линейное пространство над полем , так как и определено произведение по определению поля , а все аксиомы линейного пространства над полем выполнены, так как это аксиомы поля .
Для произвольного линейного пространства , как идля пространства , можно ввести понятие линейной зависимости и независимости системы векторов линейного пространства и, соответственно, понятие о размерности линейного пространства . Достаточно вместо векторов из пространства говорить о векторах из линейного пространства .
Определение 2. Линейное пространство называют бесконечномерным, если для любого натурального числа N в нём имеется система из N штук линейно независимых векторов.
Пример. 1. Покажем, что бесконечномерным является линейное пространство всех непрерывных (как и интегрируемых) на сегменте функций.
1. В силу определения 2 достаточно доказать, что на сегменте существует любое целое положительное число линейно-независимых элементов. Действительно, этому пространству принадлежат функции . Это система линейно-независимых векторов для любых . Действительно, возьмём производные вещественного числа , составим линейную комбинацию , приравняем её к - вектору, а нейтральным элементом будет функция, тождественно равная нулю на . Многочлен степени на может иметь не более, чем корней, а он тождественно равен нулю. Следовательно, нулевыми являются коэффициенты. Итак, равенство нулю линейной комбинации влечёт за собой равенство нулю всех коэффициентов линейной комбинации, значит, система векторов линейно независима.
2. Покажем это иначе. Пусть n – произвольное натуральное число. Положим:

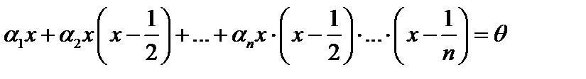
Докажем, что система векторов является линейно независимой. Запишем равенство.
.
Положив последовательно , , получим
. Таким образом, равенство
влечет за собой равенство . Отсюда, векторы линейно независимы. Так как n – любое натуральное число, то, следовательно, векторное пространство всех непрерывных функций заданных на отрезке не имеет конечной системы линейно независимых векторов, для которых всякая система, содержащая на один вектор больше, была бы линейно зависима. Поэтому в этом пространстве нельзя ввести понятие конечной размерности. 
Date: 2015-09-03; view: 508; Нарушение авторских прав | Понравилась страница? Лайкни для друзей: |
|
|