Главная
Случайная страница
Полезное:
Как сделать разговор полезным и приятным
Как сделать объемную звезду своими руками
Как сделать то, что делать не хочется?
Как сделать погремушку
Как сделать так чтобы женщины сами знакомились с вами
Как сделать идею коммерческой
Как сделать хорошую растяжку ног?
Как сделать наш разум здоровым?
Как сделать, чтобы люди обманывали меньше
Вопрос 4. Как сделать так, чтобы вас уважали и ценили?
Как сделать лучше себе и другим людям
Как сделать свидание интересным?
Категории:
АрхитектураАстрономияБиологияГеографияГеологияИнформатикаИскусствоИсторияКулинарияКультураМаркетингМатематикаМедицинаМенеджментОхрана трудаПравоПроизводствоПсихологияРелигияСоциологияСпортТехникаФизикаФилософияХимияЭкологияЭкономикаЭлектроника
|
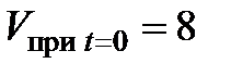
Решение. 1). Значение начальной скорости тела определяется в момент времени t=0:
1). Значение начальной скорости тела определяется в момент времени t =0:
м/с.
2). Пользуясь определением ускорения получим:
(м/с2).
Так как за время движения скорость уменьшила свое значение, то движения является равнозамедленным, следовательно а =-1,33 м/с2.
3). Скорость равнопеременного движения в общем виде определяется по формуле . Начальная скорость м/с (см. п.1), ускорение а =-1,33 м/с2 (см. п.2); подставляем эти значения в уравнение и получаем:
(м/с).
4). По второму закону Ньютона (Н).
5). 
.
6). По графику при t =3с V =4м/с, следовательно .
Задача 3. Вентилятор вращается со скоростью, соответствующей частоте n=900 об/мин. После выключения вентилятор, вращаясь равнозамедленно, сделал 100 оборотов. Сколько времени прошло с момента выключения до остановки вентилятора?
Решение.
При каждом обороте вентилятор совершает угловое перемещение, равное 2p рад. Следовательно, за n оборотов он совершит угловое перемещение
j=2p n. (I)
Т.к. движение равнозамедленное, можно использовать формулу для углового перемещения
. (II)
Модуль углового ускорения найти из соотношения
. (III)
Подставляя выражение для углового ускорения (III) в формулу (II), с учетом формулы (I) получим:
,
откуда (с).
| ЗАДАНИЯ ДЛЯ РЕШЕНИЯ
| 1.Используя информацию приведенную на рисунке определить величину скорости
| А) 2 м/с
B) 6 м/с
C) 4 м/с
D) 3 м/с ◄ правильный ответ
E) 5 м/с
| 2.Три тела начавшие равномерное движение со скоростями значения которых указаны на рисунке, прошли один и тот же путь . В каком из нижеприведенных соотношений находятся между собой их времена движений?
| A) t 2= t 3> t 1 ◄ правильный ответ
B) t 2= t 3< t 1
C) t 1> t 3> t 2
D) t 3> t 1> t 2
E) t 1= t 2= t 3
| 3.На рисунке представлен график зависимости координат от времени для трех тел. В каком из нижеприведенных соотношений между собой находятся скорости этих тел?
| A) V 1 >V 2 >V 3◄ правильный ответ
B) V 1 <V 2 <V 3
C) V 1= V 2< V 3
D) V 1 =V 3> V 2
E) V 1= V 2>V3
| | 4.Последнюю четверть своего пути равномерно движущееся тело прошло за 2,5 с. За какое время был пройден весь путь?
| А) 7,5 с
B) 10 с ◄ правильный ответ
C) 5 с
D) 0,625 с
E) 12,5 с
| | 5.Во сколько раз изменилась скорость тела, если его ускорение увеличилось в четыре раза, а время движения уменьшилось в два раза? (при t =0, V =0)
| А) Уменьшилась в 2 раза.
B) Увеличилась в 8 раз
C) Увеличилась в 6 раз.
D) Уменьшилась в 8 раз.
E) Увеличилась в 2 раза◄
| | 6.Двигаясь из состояния покоя тело в конце третьей секунды имело скорость 3 м/с. В какой момент времени его скорость была равна 9 м/с?
| А) 3 с
B) 9 с ◄ правильный ответ
C) 6 с
D) 12 с
E) 27 с
| | 7.Движения двух тел описываются уравнениями: х 1 = 10 t + 0,4t2 (м) х 2 = -6 t + 2 t 2 (м). Определить время через которое они встретятся.
| А) 2,4 с
B) 16 с
C) 4 с
D) 0,2 с
E) 10 с ◄ правильный ответ
| | 8.Определить частоту обращения цилиндрического тела вокруг оси, проходящей через центр тела, если диаметр тела 0,4 м, а линейная скорость точек максимально отстоящих от оси вращения равна 1,2 м/с.
| А) 2,5 Гц
B) 2 Гц
C) 1,5 Гц
D) 1 Гц ◄ правильный ответ
E) 0,5 Гц
| | 9.Определить линейную скорость точек вращающегося диска, удаленных от оси вращения на 5 см, если точки удаленные от оси вращения на 20 см вращаются с линейной скоростью 10 м/с.
| А) 40 м/с
B) 5 м/с
C) 2,5 м/с ◄ правильный ответ
D) 20 м/с
E) 10,5 м/с
| 10.Тело начало равномерно вращаться с линейной скоростью V из точки А. Как будет направлена скорость и центростремительное ускорение через время, равное 5,75 периода?
|
E) ◄ правильный ответ
| | 11.Тело массой 200г движется равномерно со скоростью 5м/с. Чему равна равнодействующая сила приложенная к данному телу?
| А) 1Н
B) 40Н
C) 4Н
D) 0,4Н
E) 0 ◄ правильный ответ
| | 12.Тело, масса которого 2кг изменяет свое положение по закону: X =-2+3 t - t 2, м. Определить проекцию силы, действующей на это тело.
| А) 4Н
B) 2Н
C) -2Н
D) 1Н
E) -4Н ◄ правильный ответ
| | 13.Скорость тела массой 2кг под действием силы изменяется по закону: V =6+4 t (м/с) Определить работу этой силы, за две секунды движения.
| А) 160Дж
B) 256Дж
C) 112Дж
D) 128Дж
E) 64Дж ◄ правильный ответ
| | 14.Координата тела массой 4кг, изменяется с течением времени по закону:
x =-5+3 t +2 t 2(м).
Чему равна кинетическая энергия этого
тела в момент времени t =2с?
| А) 22Дж
B) 98Дж
C) 14Дж
D) 242Дж ◄ правильный ответ
E) 121Дж
| 15.На рисунке 1 показана зависимость полной энергии тела от времени., на рисунке 2, зависимость потенциальной энергии этого тела от времени. В какой из нижеприведенных моментов времени кинетическая энергия этого тела принимала максимальное значение?
| А) t 1
B) t 2
C) t 3
D) t 4 ◄ правильный ответ
E) t 5
|
[1] Методические материалы написаны на основе пособия - Трофимова Т.И. Физика в таблицах и формулах. – М.: Дрофа, 2002. 432 с.
Date: 2015-08-15; view: 2881; Нарушение авторских прав | Понравилась страница? Лайкни для друзей: |
|
|