Главная Случайная страница


Полезное:

Как сделать разговор полезным и приятным Как сделать объемную звезду своими руками Как сделать то, что делать не хочется? Как сделать погремушку Как сделать так чтобы женщины сами знакомились с вами Как сделать идею коммерческой Как сделать хорошую растяжку ног? Как сделать наш разум здоровым? Как сделать, чтобы люди обманывали меньше Вопрос 4. Как сделать так, чтобы вас уважали и ценили? Как сделать лучше себе и другим людям Как сделать свидание интересным?


Категории:

АрхитектураАстрономияБиологияГеографияГеологияИнформатикаИскусствоИсторияКулинарияКультураМаркетингМатематикаМедицинаМенеджментОхрана трудаПравоПроизводствоПсихологияРелигияСоциологияСпортТехникаФизикаФилософияХимияЭкологияЭкономикаЭлектроника






Метод фазового контраста





Этот метод, предложенный Фрицем Цернике в 1935 г., также используют в микроскопии для получения изображений прозрачных и бесцветных объектов. Неоднородность показателя преломления объекта, например, живой клетки, приводит к тому, что прошедшая через объект световая волна претерпевает в разных точках объекта разные изменения фазы, т.е. приобретает фазовый рельеф. В методе фазового контраста этот рельеф преобразуется в изменения яркости света – амплитудный рельеф – с помощью специальной фазовой пластинки, расположенной вблизи заднего фокуса объектива микроскопа.

Упрощенная схема метода подобна схеме, используемой в методе тёмного поля, только вместо непрозрачного диска в фокальной плоскости линзы расположен стеклянный диск – фазовая пластина. Толщина пластины подобрана так, что она осуществляет изменение фазы падающей на нее световой волны на p /2.

Как и в методе тёмного поля, на пластину падает свет, не претерпевший преломления в объекте. Этот свет, не несущий информации о структуре объекта, линза собирает в точке фокуса. В то же время преломленные объектом лучи – полезный сигнал – минуют фазовую пластину, проходя сбоку от нее. Затем фоновая волна, фаза которой сдвинута на p /2, и сигнальная волна интерферируют, в результате чего формируется изображение структуры объекта.

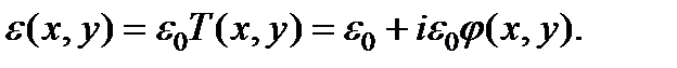
Поясним сказанное с помощью простых формул. Пусть объект характеризуется комплексным коэффициентом пропускания. , где j (x, y) – действительная функция, модуль которой меньше единицы: .

В этом случае можно приближенно написать: . Комплексную амплитуду волны, падающей на объект, обозначим через e 0. Тогда волна, прошедшая через объект, имеет амплитуду

В отсутствие фазовой пластины поле с амплитудой e (x, y) непосредственно проецируется на экран или наблюдается в окуляр микроскопа. При этом наблюдаемое распределение интенсивности

почти однородно, структура объекта просматривается плохо. Иная ситуация имеет место, если в фокусе линзы находится фазовая пластинка, сдвигающая фазу фоновой волны на p /2. В этом случае слагаемое e 0 в правой части формулы следует заменить на ie 0. При этом второе слагаемое ie 0 j (x, y), описывающее волну, преломленную в объекте, остаётся без изменения, так как преломленные волны проходят мимо фазовой пластины, размер которой достаточно мал. В итоге амплитуда волны, прошедшей через объект и фазовую пластину, приобретает вид ,а соответствующее распределение интенсивности есть

.

Сравнивая формулы и и учитывая условие , видим, что при наличии фазовой пластины в фокусе линзы контраст наблюдаемой картины должен значительно возрасти. Эксперименты подтверждают этот вывод.







Date: 2015-08-06; view: 806; Нарушение авторских прав



mydocx.ru - 2015-2026 year. (0.371 sec.) Все материалы представленные на сайте исключительно с целью ознакомления читателями и не преследуют коммерческих целей или нарушение авторских прав - Пожаловаться на публикацию