Главная Случайная страница


Полезное:

Как сделать разговор полезным и приятным Как сделать объемную звезду своими руками Как сделать то, что делать не хочется? Как сделать погремушку Как сделать так чтобы женщины сами знакомились с вами Как сделать идею коммерческой Как сделать хорошую растяжку ног? Как сделать наш разум здоровым? Как сделать, чтобы люди обманывали меньше Вопрос 4. Как сделать так, чтобы вас уважали и ценили? Как сделать лучше себе и другим людям Как сделать свидание интересным?


Категории:

АрхитектураАстрономияБиологияГеографияГеологияИнформатикаИскусствоИсторияКулинарияКультураМаркетингМатематикаМедицинаМенеджментОхрана трудаПравоПроизводствоПсихологияРелигияСоциологияСпортТехникаФизикаФилософияХимияЭкологияЭкономикаЭлектроника






Понятие о пространственной когерентности





Если в предыдущем параграфе рассматривался точечный источник, но излучение его было не монохроматичным, то сейчас решим обратную задачу – источник монохроматичен, но имеет конечные размеры. Исследуем, как зависит качество интерференционной картины от размера источника.

Рассмотрим интерференцию, возникающую в результате выделения с помощью щелей S 1 и S 2 двух участков волнового фронта излучения от протяженного источника S. Его можно представить как сумму некогерентных между собой точечных источников.

Пусть u – текущая координата точки протяженного источника (рис. 3.12). Для простоты рассматриваем линейный источник. Как видно из рисунка, разность хода лучей от точки с координатой u до точки, характеризуемой координатой x равна: ,

а возникающая за счет этого разность фаз

Р и с. 3.12

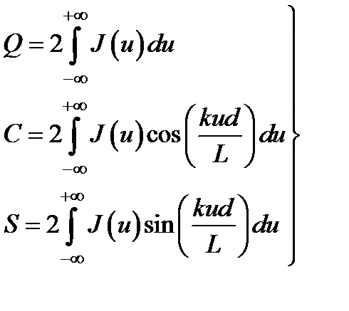
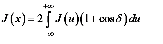
Если J (u) du – интенсивность света, испущенного с участка источника длиной du и в точке источника с координатой u, то вклад от этого участка в полную интенсивность интерференционной картины в точке x выражается формулой: ,

где d задается равенством. Для полной интенсивности находим выражение:

.

Принимая во внимание, что

,

представим в форме:

С помощью обозначений

выражение можно записать аналогично тому, как это было представлено в предыдущем параграфе:

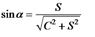
, где . Следовательно, интенсивность опять изменяется по гармоническому закону, а максимумы и минимумы интенсивности соответственно равны: Видимость представиться выражением: .

Анализ интерференционной картины сводиться к вычислению интегралов Q, C, S.

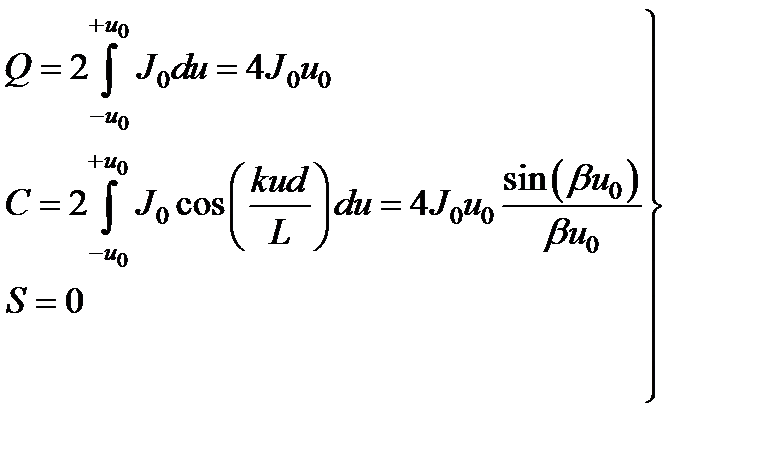
Рассмотрим важный случай: источник с однородным распределением интенсивности излучения, когда функция J (u) задается формулой:

,

.

График функции изображен на рис. 3.13.


Р и с. 3.13

По формулам находим:

,

где b = kd / L.

Следовательно, формула принимает вид:

.

В соответствии с и видимость выражается формулой:

.

Для точечного источника u 0 ® 0 и, следовательно, V ® 1. Источник, описываемый ступенчатой функцией, дает такие же интерференционные полосы, как и точечный источник, но их видимость уменьшается, т.е. видимость полос, согласно, зависит от размера источника.







Date: 2015-08-06; view: 610; Нарушение авторских прав



mydocx.ru - 2015-2026 year. (0.809 sec.) Все материалы представленные на сайте исключительно с целью ознакомления читателями и не преследуют коммерческих целей или нарушение авторских прав - Пожаловаться на публикацию