Главная Случайная страница


Полезное:

Как сделать разговор полезным и приятным Как сделать объемную звезду своими руками Как сделать то, что делать не хочется? Как сделать погремушку Как сделать так чтобы женщины сами знакомились с вами Как сделать идею коммерческой Как сделать хорошую растяжку ног? Как сделать наш разум здоровым? Как сделать, чтобы люди обманывали меньше Вопрос 4. Как сделать так, чтобы вас уважали и ценили? Как сделать лучше себе и другим людям Как сделать свидание интересным?


Категории:

АрхитектураАстрономияБиологияГеографияГеологияИнформатикаИскусствоИсторияКулинарияКультураМаркетингМатематикаМедицинаМенеджментОхрана трудаПравоПроизводствоПсихологияРелигияСоциологияСпортТехникаФизикаФилософияХимияЭкологияЭкономикаЭлектроника






Бизеркала Френеля





Здесь две когерентные световые волны получают при отражении от двух зеркал, плоскости которых образуют между собой небольшой угол a (рис. 3.8). Источник – узкая ярко освещенная щель S, параллельная линии пересечения зеркал. Отраженные от зеркал пучки падают на экран Э и там, где они перекрываются (зона интерференции), возникает интерференционная картина в виде полос, параллельных щели S. Отраженные от зеркал волны распространяются так, как если бы они исходили из мнимых источников S 1 и S2, являющихся изображениями щели S.

а
2 а
2 а

Р и с. 3.8

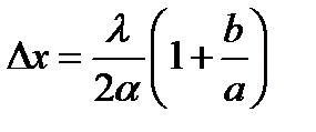
Найдем ширину D x интерференционных полос на экране Э. Воспользуемся формулой D x = l / d. В нашем случае = a + b и d = 2 a × a, поэтому .

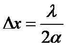
Видно, что ширина полос растет с увеличением расстояния b. Если же на бизеркала падает плоская волна, т. е. a ® ¥, то , значит ширина полос в этом случае не зависит от расстояния b – положения экрана.

Число возможных полос на экране N = х /D x, где х – ширина зоны интерференции на экране, х = b ×2 a. Следовательно, .

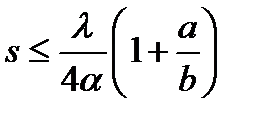
Но чтобы все эти полосы были действительно видны (и достаточно хорошо), нужно удовлетворить определенным требованиям. Не вдаваясь в детали вывода, получим, что ширина s щели S должна быть

, а степень монохроматичности используемого света

. Обращает на себя внимание то, что полученные формулы полностью идентичны с формулами для бипризмы Френеля.







Date: 2015-08-06; view: 3517; Нарушение авторских прав



mydocx.ru - 2015-2026 year. (0.674 sec.) Все материалы представленные на сайте исключительно с целью ознакомления читателями и не преследуют коммерческих целей или нарушение авторских прав - Пожаловаться на публикацию