Главная Случайная страница


Полезное:

Как сделать разговор полезным и приятным Как сделать объемную звезду своими руками Как сделать то, что делать не хочется? Как сделать погремушку Как сделать так чтобы женщины сами знакомились с вами Как сделать идею коммерческой Как сделать хорошую растяжку ног? Как сделать наш разум здоровым? Как сделать, чтобы люди обманывали меньше Вопрос 4. Как сделать так, чтобы вас уважали и ценили? Как сделать лучше себе и другим людям Как сделать свидание интересным?


Категории:

АрхитектураАстрономияБиологияГеографияГеологияИнформатикаИскусствоИсторияКулинарияКультураМаркетингМатематикаМедицинаМенеджментОхрана трудаПравоПроизводствоПсихологияРелигияСоциологияСпортТехникаФизикаФилософияХимияЭкологияЭкономикаЭлектроника






Билинза Бийе





Обычную собирательную линзу разрезают пополам по диаметру, удаляя слой небольшой толщины, и обе половинки ее сдвигают (или немного раздвигают)» Такую систему и называют билинзой. Рассмотрим билинзу, у которой толщина удаленного слоя равна , а источник – ярко освещенная щель S расположен в плоскости, соединяющей обе половинки билинзы, и находится в ее фокальной плоскости на расстоянии f от билинзы (рис. 3.9). В этом случае оптический центр О 1 верхней половинки 1 билинзы и оптический центр О 2 нижней половинки 2 расположены как показано на рисунке, и расстояние между этими оптическими центрами равно толщине удаленного слоя, т. е. d. Изобразив пунктиром побочные оптические оси, проходящие через щель S и оптические центры обеих половинок билинзы, можно построить ход лучей через эти половинки.

Таким образом, билинза расщепляет падающую на нее световую волну на две части, которые затем частично перекрываются (зона интерференции). На экране Э в области перекрывания волн должна возникнуть при определенных дополнительных условиях интерференционная картина.

Р и с. 3.9

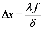
Ширину D x интерференционной полосы можно найти с помощью формулы D x = l / a, для этой цели она более удобна. Имея в виду, что угол между направлениями распространения двух плоских волн, как видно из рис. 3.9, равен a = d / f, получим: .

Отсюда следует, что ширина полосы в данном случае не зависит от расстояния между экраном и билинзой.

Для подсчета числа полос на экране надо учесть, что зона интерференции здесь имеет вид вытянутого ромба, максимальная ширина х max которого равна половине диаметра D билинзы: x max = D /2. Поэтому важно знать, в каком месте этого "ромба" находится экран. Если он расположен ближе места, где х = x макс (обычно так и бывает), то ширина зоны интерференции на экране будет х = ba = bd / f. И число N возможных полос интерференции окажется N = х /D х, т.е. .

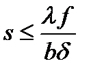
Остается выяснить дополнительные условия, которым должны удовлетворять ширина s щели S и степень монохроматичности l /D l используемого света, чтобы интерференционную картину можно было получить, причем с достаточно хорошей видностью. Эти условия мы найдем с помощью соотношений h cog ³ 2 d и m» l /D l. Выпишем их для нашего случая, когда щель находится в фокальной плоскости билинзы:

, ,

где m max – максимальный порядок интерференции на экране, отстоящем на расстояние b от билинзы (он равен отношению полуширины зоны интерференции к ширине интерференционной полосы).

В заключение следует заметить, что обзор интерференционных схем на этом, разумеется, не ограничивается. На трех рассмотренных схемах мы продемонстрировали общность подхода к расчету интерференционных картин, получаемых подобными схемами. Из существующих в настоящее время интерференционных схем можно назвать еще и такие: зеркало Ллойда, интерферометр Рэлея, звездный интерферометр Майкельсона, интерферометр Маха-Цендера и др. Некоторые из них нашли широкое применение при проведении очень тонких и высокочувствительных измерений.







Date: 2015-08-06; view: 7026; Нарушение авторских прав



mydocx.ru - 2015-2026 year. (3.114 sec.) Все материалы представленные на сайте исключительно с целью ознакомления читателями и не преследуют коммерческих целей или нарушение авторских прав - Пожаловаться на публикацию