Главная Случайная страница


Полезное:

Как сделать разговор полезным и приятным Как сделать объемную звезду своими руками Как сделать то, что делать не хочется? Как сделать погремушку Как сделать так чтобы женщины сами знакомились с вами Как сделать идею коммерческой Как сделать хорошую растяжку ног? Как сделать наш разум здоровым? Как сделать, чтобы люди обманывали меньше Вопрос 4. Как сделать так, чтобы вас уважали и ценили? Как сделать лучше себе и другим людям Как сделать свидание интересным?


Категории:

АрхитектураАстрономияБиологияГеографияГеологияИнформатикаИскусствоИсторияКулинарияКультураМаркетингМатематикаМедицинаМенеджментОхрана трудаПравоПроизводствоПсихологияРелигияСоциологияСпортТехникаФизикаФилософияХимияЭкологияЭкономикаЭлектроника






Понятие о временной когерентности





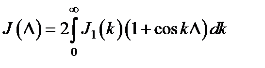
При количественном исследовании значения немонохроматичности света в интерференционных явлениях нужно найти, как кривая видности полос связана со спектральным распределением интенсивности источника. Пусть излучение немонохроматично, имеет непрерывный спектр, и спектральное распределение характеризуется некоторой функцией J 1(k), так что J 1(k) dk – интенсивность одного из интерферирующих пучков в интервале волновых чисел (k, k + dk). Распределение интенсивности в элементарной интерференционной картине, созданной излучением из этого спектрального интервала, получается из формулы (3.2) для монохроматических волн заменой I 1 =I 2 на J 1(k) dk, а полная интенсивность результирующей картины находится суммированием по всему спектру: .

Спектр волн, образующих линию излучения, сосредоточен обычно в очень малом интервале частот вблизи частоты с максимальной плотностью излучения даже тогда, когда уширение линии относительно велико. Поэтому J 1(k) в отлична от нуля лишь в узком интервале волновых чисел вблизи k 0, соответствующего центру линии излучения.

Переходя в к новой переменной интегрирования

можно пределы интегрирования по k ' считать равными ± ¥ и записать в виде

где .

С помощью тригонометрического соотношения

преобразуем к равенству: ,

где .

Из формул видно, что интенсивность изменяется в зависимости от D по гармоническому закону. J (D) удобнее представить в виде: ,

где a определяется из равенства

Ясно, что максимумы и минимумы интенсивности достигаются соответственно при cos(a + b) = 1 и cos(a + b) = -1:

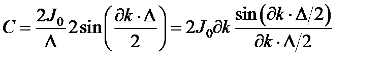
Чем больше разница между максимальной и минимальной интенсивностями, тем отчетливее интерференционная картина, и выше значение параметра видности. В общем случае для видности на основании можно написать выражение .

Рассмотрим, например, прямоугольный спектральный контур с равномерным распределением в интервале dk вблизи k 0, т.е. функция при и вне этого интервала (рис.3.10).



Р и с. 3.10

Тогда

.

Видность интерференционных полос в соответствии с определяется модулем функции:

.

Кривая видности, соответствующая равномерному распределению в спектральном интервале шириной dk, приведена на рис. 3.11, а.

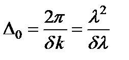
При D = 0 видность максимальна: V = 1. С увеличением разности хода видность полос убывает и при

обращается в нуль. При D > D0 картина появится опять, но видность ее интерференционных полос незначительна.

δk
δk


Р и с. 3.11

Обозначив m max – максимальный порядок интерференции, доступный для наблюдения, запишем D = m max l или .

Введение разности хода между пучками эквивалентно задержке одного из них во времени, поэтому способность световых колебаний в одной точке исходного пучка к интерференции после его разделения на два пучка и последующего их соединения с некоторой разностью хода называется временной когерентностью. Максимальная разность хода, при которой возможна интерференция, называется длиной когерентности излучения cog, а соответствующее ей запаздывание – временем когерентности

Если предположить, что cog» D0, то с учетом – можно записать

или .

 







Date: 2015-08-06; view: 903; Нарушение авторских прав



mydocx.ru - 2015-2026 year. (0.229 sec.) Все материалы представленные на сайте исключительно с целью ознакомления читателями и не преследуют коммерческих целей или нарушение авторских прав - Пожаловаться на публикацию