Главная Случайная страница


Полезное:

Как сделать разговор полезным и приятным Как сделать объемную звезду своими руками Как сделать то, что делать не хочется? Как сделать погремушку Как сделать так чтобы женщины сами знакомились с вами Как сделать идею коммерческой Как сделать хорошую растяжку ног? Как сделать наш разум здоровым? Как сделать, чтобы люди обманывали меньше Вопрос 4. Как сделать так, чтобы вас уважали и ценили? Как сделать лучше себе и другим людям Как сделать свидание интересным?


Категории:

АрхитектураАстрономияБиологияГеографияГеологияИнформатикаИскусствоИсторияКулинарияКультураМаркетингМатематикаМедицинаМенеджментОхрана трудаПравоПроизводствоПсихологияРелигияСоциологияСпортТехникаФизикаФилософияХимияЭкологияЭкономикаЭлектроника






Доплеровское уширение





Доплеровское уширение спектральной линии обусловлено хаотическим тепловым движением атомов или молекул. Оно наиболее характерно для разреженных газообразных светящихся сред. Например, доплеровский спектр имеет излучение, испускаемое в боковых направлениях газоразрядной трубкой гелий-неонового лазера.

Оценим форму и ширину доплеровской спектральной линии, пренебрегая (для простоты) радиационным затуханием колебаний, т.е. будем считать, что неподвижные атомы излучают практически на одной частоте w 0. Если в процессе излучения атом движется, то наблюдаемая частота w не равна частоте излучения покоящегося атома. При этом имеет значение лишь проекция скорости атома на направление наблюдателя. Если эта проекция равна υ, то наблюдаемая частота излучения (при υ << c) определяется формулой

, которая выражает эффект Доплера.

Доля атомов, скорости которых заключены между υ и υ + , в соответствии с распределением Максвелла пропорциональна ,

где m – масса атома, k – постоянная Больцмана, T – температура. Строго говоря, распределение справедливо только при тепловом равновесии. Тем не менее, отклонение от него для излучающих атомов в газовом разряде незначительно.

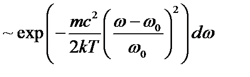
Подставляя в υ из получаем долю полного числа возбужденных атомов источника, которые излучают в направлении наблюдения на частоте от w до w + dw:

.

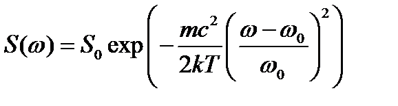
Акты спонтанного испускания различных атомов происходят независимо, т.е. их излучение некогерентное. Поэтому полная интенсивность излучения источника S (w) dw в интервале от w до (w + dw) пропорциональна числу атомов, излучающих в этом интервале частот. Следовательно, доплеровское уширение приводит к распределению энергии в спектре, выражаемому формулой:

, где S 0 – спектральная плотность интенсивности излучения в центре линии на частоте w 0.

Р и с. 2.11

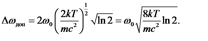
Описываемый выражением контур спектральной линии имеет колоколообразную форму с быстро (экспоненциально) спадающими крыльями (рис. 2.11). Он называется гауссовым, так как совпадает с кривой нормального закона распределения Гаусса. Ширину доплеровской линии D w доп определяем из как разность частот D w = w 2w 1, при которых интенсивность равна половине её максимального значения. Полагая S (w 1) = S (w 2) = S 0/2, находим: .

Откуда находим, что доплеровская спектральная линия имеет вид гауссовой кривой с центром на частоте w 0 и полной шириной на полувысоте

Подставляя в числовые значения констант, получаем для оценки доплеровской ширины спектральной линии следующую простую формулу .

Здесь М – атомная масса. Оценим доплеровскую ширину спектральной линии излучения гелий-неонового лазера, где излучающими атомами являются атомы Ne.

Полагая l 0 = 632,8 нм, М = 20, Т = 300 К, получим по формуле Гц или нм.

Это на два порядка превосходит естественную ширину спектральной линии и по порядку величины совпадает с шириной линии за счeт ударного уширения (D l ест = 1,17×10 5 нм).

В отличие от радиационного и столкновительного уширений, которые относятся к однородным уширениям, доплеровский тип уширения называют неоднородным.







Date: 2015-08-06; view: 2210; Нарушение авторских прав



mydocx.ru - 2015-2026 year. (1.005 sec.) Все материалы представленные на сайте исключительно с целью ознакомления читателями и не преследуют коммерческих целей или нарушение авторских прав - Пожаловаться на публикацию