Главная Случайная страница


Полезное:

Как сделать разговор полезным и приятным Как сделать объемную звезду своими руками Как сделать то, что делать не хочется? Как сделать погремушку Как сделать так чтобы женщины сами знакомились с вами Как сделать идею коммерческой Как сделать хорошую растяжку ног? Как сделать наш разум здоровым? Как сделать, чтобы люди обманывали меньше Вопрос 4. Как сделать так, чтобы вас уважали и ценили? Как сделать лучше себе и другим людям Как сделать свидание интересным?


Категории:

АрхитектураАстрономияБиологияГеографияГеологияИнформатикаИскусствоИсторияКулинарияКультураМаркетингМатематикаМедицинаМенеджментОхрана трудаПравоПроизводствоПсихологияРелигияСоциологияСпортТехникаФизикаФилософияХимияЭкологияЭкономикаЭлектроника






Метод неопределенных множителей Лагранжа





Пусть функции и дифференцируемы в некоторой области . Тогда задача отыскания точек условного экстремума функции при условиях связи

эквивалентна задаче о нахождении точек обычного (безусловного) экстремума функции Лагранжа:

(28)

 

Схема метода Лагранжа:

1. Составляем функцию Лагранжа (28).

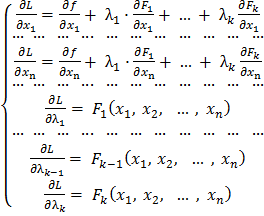
2. Для отыскания стационарных точек функции Лагранжа находим ее частные производные по всем аргументам

 

 

и приравниваем их к нулю.

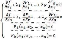
Получаем систему уравнений с неизвестными:

 

 

(29)

 

 

Если — решение этой системы, то оно определяет стационарную точку функции при условиях связи (26), в которой функция может иметь условный экстремум.

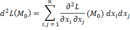
3. Чтобы установить наличие или отсутствие условного экстремума в каждой стационарной точке , нужно исследовать знак 2–го дифференциала функции Лагранжа

при значениях дифференциалов , не равных одновременно нулю и удовлетворяющих продифференцированным уравнениям связи

Замечание. При решении практических задач во многих случаях наличие условного экстремума в стационарной точке определяется существом задачи.

Пример:

Найдем условный экстремум функции при условии . Составим функцию Лагранжа

 

.

 

Система (29) при этом выглядит так:

 

,

 

откуда . При этом можно представить в виде

 

,

 

поэтому в найденной стационарной точке имеет максимум, а условный максимум.

 

Геометрический смысл условного экстремума функции:

Условными экстремумами функции при являются ее экстремумы на линии, образующейся в сечении поверхности цилиндрической поверхностью .







Date: 2015-07-27; view: 478; Нарушение авторских прав



mydocx.ru - 2015-2026 year. (0.438 sec.) Все материалы представленные на сайте исключительно с целью ознакомления читателями и не преследуют коммерческих целей или нарушение авторских прав - Пожаловаться на публикацию