Главная Случайная страница


Полезное:

Как сделать разговор полезным и приятным Как сделать объемную звезду своими руками Как сделать то, что делать не хочется? Как сделать погремушку Как сделать так чтобы женщины сами знакомились с вами Как сделать идею коммерческой Как сделать хорошую растяжку ног? Как сделать наш разум здоровым? Как сделать, чтобы люди обманывали меньше Вопрос 4. Как сделать так, чтобы вас уважали и ценили? Как сделать лучше себе и другим людям Как сделать свидание интересным?


Категории:

АрхитектураАстрономияБиологияГеографияГеологияИнформатикаИскусствоИсторияКулинарияКультураМаркетингМатематикаМедицинаМенеджментОхрана трудаПравоПроизводствоПсихологияРелигияСоциологияСпортТехникаФизикаФилософияХимияЭкологияЭкономикаЭлектроника






Операторная форма дифференциалов высших порядков





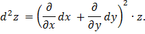
Если и рассматривать как обозначения дифференциальных операторов, результатами действия которых на функцию являются частные производные и , то

 

 

Теперь формулу (22) можно записать в операторной форме

Если является дифференцируемой функцией независимых переменных и в окрестности точки , то аналогично вышеизложенному вводится понятие дифференциала 3–го порядка: при постоянных и .

Дифференциал –го порядка определяется как дифференциал от дифференциала –го порядка: при постоянных и а его связь с частными производными –го порядка выражается формулой

 

Замечание. Если и не независимые переменные, функции, то формула (20) при в общем случае неверна и, следовательно, дифференциалы порядков функции не обладают свойством инвариантности формы.

Рассмотренные определения дифференциалов высших порядков и их свойства распространяются и на функции с большим, чем два, количеством аргументов.







Date: 2015-07-27; view: 557; Нарушение авторских прав



mydocx.ru - 2015-2026 year. (1.333 sec.) Все материалы представленные на сайте исключительно с целью ознакомления читателями и не преследуют коммерческих целей или нарушение авторских прав - Пожаловаться на публикацию