Главная Случайная страница


Полезное:

Как сделать разговор полезным и приятным Как сделать объемную звезду своими руками Как сделать то, что делать не хочется? Как сделать погремушку Как сделать так чтобы женщины сами знакомились с вами Как сделать идею коммерческой Как сделать хорошую растяжку ног? Как сделать наш разум здоровым? Как сделать, чтобы люди обманывали меньше Вопрос 4. Как сделать так, чтобы вас уважали и ценили? Как сделать лучше себе и другим людям Как сделать свидание интересным?


Категории:

АрхитектураАстрономияБиологияГеографияГеологияИнформатикаИскусствоИсторияКулинарияКультураМаркетингМатематикаМедицинаМенеджментОхрана трудаПравоПроизводствоПсихологияРелигияСоциологияСпортТехникаФизикаФилософияХимияЭкологияЭкономикаЭлектроника






Дифференцирование сложной функции





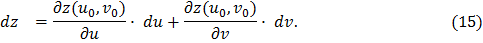
Теорема 1. Пусть функция дифференцируема в точке ,а ее аргументы и дифференцируемы в точке , причем

Тогда сложная функция переменной дифференцируема в точке и ее производная вычисляется по формуле

Доказательство. Так как функции и дифференцируемы в точке , то их приращения и , соответствующее приращению аргумента , представимы в виде:

где и — бесконечно малые функции при .

Так как функция дифференцируема в точке , где , то ее приращение , соответствующее приращениям аргументов и , представимо в виде

где и — бесконечно малые функции при .

Из дифференцируемости функций в точке следует их непрерывность в этой точке, т.е. при . Поэтому и при .

Подставляя выражения (9) в формулу (10), получаем

Здесь бесконечно малая функция при , имеющая вид:

и ранее показаны

Обозначив в (11) выражение в скобках буквой ( не зависит от ), получаем

т.е. приращение представлено как сумма линейной части приращения и бесконечно малой более высокого порядка, чем . Отсюда следуют дифференцируемость сложной функции в точке и формула (8) для в этой точке. Теорема доказана.

Аналогично формулируются и доказываются теоремы о дифференцируемости сложной функции любого числа переменных. Например:

Теорема 2. Пусть функция дифференцируема в точке и ее аргументы и дифференцируемы в точке , причем .

Тогда сложная функция переменных и дифференцируема в точке и ее частные производные вычисляются по формулам

 

(Все производные в этих формулах вычисляютсявыполнены в соответствующих точках.)

Пример:

Найти частные производные функции ,

где тогда в соответствии с (12 и 13) получим:

 

Инвариантность формы полного дифференциала

Пусть функция , где и — независимые переменные, дифференцируема в некоторой точке . Известно, что ее дифференциал в этой точке определяется формулой

где и — приращения независимых переменных и .

Пусть теперь и — не независимые переменные, а функции и , дифференцируемые в точке . Тогда по теореме 2 сложная функция переменных и дифференцируема в точке . Следовательно, ее дифференциал определяется формулой

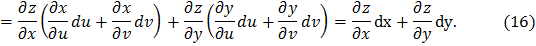
Подставляя сюда и , определяемые формулами (12) и (13), и выполняя простые преобразования, получаем

 

Таким образом, дифференциал функции , когда и являются функциями, совпадает по форме с дифференциалом функции , когда и — независимые переменные. Это свойство называют инвариантностью [2] формы первого дифференциала.

Следует иметь в виду, что в случае независимых переменных и их дифференциалы и совпадают с приращениями и . В случае, когда и сами являются функциями, их дифференциалы, вообще говоря, не совпадают с приращениями и , а являются лишь их линейными частями.

Свойство инвариантности формы полного дифференциала распространяется на функции любого числа переменных.







Date: 2015-07-27; view: 503; Нарушение авторских прав



mydocx.ru - 2015-2026 year. (0.572 sec.) Все материалы представленные на сайте исключительно с целью ознакомления читателями и не преследуют коммерческих целей или нарушение авторских прав - Пожаловаться на публикацию