Главная Случайная страница


Полезное:

Как сделать разговор полезным и приятным Как сделать объемную звезду своими руками Как сделать то, что делать не хочется? Как сделать погремушку Как сделать так чтобы женщины сами знакомились с вами Как сделать идею коммерческой Как сделать хорошую растяжку ног? Как сделать наш разум здоровым? Как сделать, чтобы люди обманывали меньше Вопрос 4. Как сделать так, чтобы вас уважали и ценили? Как сделать лучше себе и другим людям Как сделать свидание интересным?


Категории:

АрхитектураАстрономияБиологияГеографияГеологияИнформатикаИскусствоИсторияКулинарияКультураМаркетингМатематикаМедицинаМенеджментОхрана трудаПравоПроизводствоПсихологияРелигияСоциологияСпортТехникаФизикаФилософияХимияЭкологияЭкономикаЭлектроника






Условия дифференцируемости





Пусть функция определена в некоторой окрестности точки .

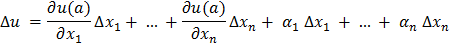
Определение 1. Функция называется дифференцируемой в точке , если ее полное приращение

можно представить в виде

где — некоторые числа, не зависящие от — функции , бесконечно малые при и равные нулю при .

— расстояние между точками и . Тогда определение (1) можно записать в форме:

где при и .

Выражение

— линейная часть приращения относительно , — бесконечно малая более высокого порядкамалости, чем .

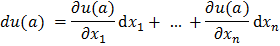
Определение 2. Если функция дифференцируема в точке , то линейная часть ее приращения относительно называется дифференциалом (или полным дифференциалом) функции в точке .

Таким образом

Теорема 1. Если функция дифференцируема в точке, то она непрерывна в этой точке.

Необходимое условие дифференцируемости:

Теорема 2. Если функция дифференцируема в точке , то в этой точке существуют частные производные по каждому аргументу , причем

где — числа в определении (1).

Из этой теоремы следует, что приращение дифференцируемой функции можно записать в виде

и ее дифференциал

Пример:

Вычислить приближенные значения:

 

1) 1,083,96;

 

2)

 

Решение:

Если требуется вычислить значение функции в точке и если проще вычислить значения этой функции и ее частных производных в точке , то при достаточно малых, по абсолютной величине, значениях разностей можно заменить полное приращение функции ее полным дифференциалом:

Это позволяет найти приближенное значение искомой величины по формуле

 

1) Полагая, что 1,083,96 есть частное значение функции

В точке М(1,08; 3,96) и что вспомогательная точка будет М0(1;4), вычислим:

Подставляя в формулу, найдем искомое значение:

 

 

2) Пусть

 

есть частное значение функции трех переменных

 

 

в точке и пусть вспомогательная точка будет Тогда:

 

Подставляя получим:

 

Достаточное условие дифференцируемости:

Теорема 3. Если функция имеет в окрестности точки частные производные, непрерывные в этой точке, то дифференцируема в точке .

Пример: Потенциальная энергия материальной точки массой m = 2 кг изменяется по закону где - постоянные величины; - ускорение свободного падения. Получить выражение для силы, действующей на материальную точку по вертикали, вычислить ее величину.

Указания к решению: Вектор силы F, как любой вектор, можно разложить на составляющие вдоль осей координат

где , орты осей координат. Проекции вектора силы на оси координат связаны с потенциальной энергией материальной точки соотношениями:

т.к. сила направлена по вертикали, то

Ответ: .

Примеры: Найти полные дифференциалы функций:







Date: 2015-07-27; view: 448; Нарушение авторских прав



mydocx.ru - 2015-2026 year. (0.991 sec.) Все материалы представленные на сайте исключительно с целью ознакомления читателями и не преследуют коммерческих целей или нарушение авторских прав - Пожаловаться на публикацию