Главная Случайная страница


Полезное:

Как сделать разговор полезным и приятным Как сделать объемную звезду своими руками Как сделать то, что делать не хочется? Как сделать погремушку Как сделать так чтобы женщины сами знакомились с вами Как сделать идею коммерческой Как сделать хорошую растяжку ног? Как сделать наш разум здоровым? Как сделать, чтобы люди обманывали меньше Вопрос 4. Как сделать так, чтобы вас уважали и ценили? Как сделать лучше себе и другим людям Как сделать свидание интересным?


Категории:

АрхитектураАстрономияБиологияГеографияГеологияИнформатикаИскусствоИсторияКулинарияКультураМаркетингМатематикаМедицинаМенеджментОхрана трудаПравоПроизводствоПсихологияРелигияСоциологияСпортТехникаФизикаФилософияХимияЭкологияЭкономикаЭлектроника






Определение 4





1. Множество называется открытым, если все его точки внутренние.

2. Множество называется замкнутым, если оно содержит все свои граничные точки.

3. Множество называется ограниченным, если все его точки содержатся в некотором шаре.

4. Множество называется связным, если любые две его точки можно соединить непрерывной произвольной линией, целиком принадлежащей данному множеству.

5. Открытое связное множество называется областью.

Пример: Построить область Dизменения переменных и заданную неравенствами:

1)

2)

3)

4)

Решение:

1) Этим неравенствам удовлетворяют координаты любой точки, находящейся внутри и на границе прямоугольника, стороны которого лежат на прямых . Этот прямоугольник и есть область изменения переменных . Такая область, в которую входят и ее границы называется замкнутой (рис. 1).

Рис.1

 

 

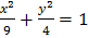
2) В этом примере область Dесть совокупность всех точек, находящихся внутри эллипса , так как только эти точки удовлетворяют этому неравенству. Такая область, в которую не входят точки ее границы называется открытой(рис. 2).

Рис.2

 

3) Здесь область D имеет вид кольца, ограниченного окружностями с центром в начале координат и радиусами Область называется замкнутая, так как включает границу (рис. 3).

Рис. 3

 

 

4) Эта область Dоткрытая. Она ограниченна биссектрисой первого координатного угла и осью абсцисс(рис. 4).

Рис. 4







Date: 2015-07-27; view: 350; Нарушение авторских прав



mydocx.ru - 2015-2026 year. (0.244 sec.) Все материалы представленные на сайте исключительно с целью ознакомления читателями и не преследуют коммерческих целей или нарушение авторских прав - Пожаловаться на публикацию