Главная Случайная страница


Полезное:

Как сделать разговор полезным и приятным Как сделать объемную звезду своими руками Как сделать то, что делать не хочется? Как сделать погремушку Как сделать так чтобы женщины сами знакомились с вами Как сделать идею коммерческой Как сделать хорошую растяжку ног? Как сделать наш разум здоровым? Как сделать, чтобы люди обманывали меньше Вопрос 4. Как сделать так, чтобы вас уважали и ценили? Как сделать лучше себе и другим людям Как сделать свидание интересным?


Категории:

АрхитектураАстрономияБиологияГеографияГеологияИнформатикаИскусствоИсторияКулинарияКультураМаркетингМатематикаМедицинаМенеджментОхрана трудаПравоПроизводствоПсихологияРелигияСоциологияСпортТехникаФизикаФилософияХимияЭкологияЭкономикаЭлектроника






Анализ систем с реальным дифференцированием





 

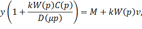
В основу ПФ (8.2) положим форсирующее звено. Тогда полученная ПФ будет иметь вид

Порядок полиномов в (9.1) произвольный.

Рассмотрим систему с реальным дифференцирующим фильтром (9.1). Для простоты полагаем, что помеха отсутствуем (h (t)=0).

μ

Рис. 9.1 Система с реальным дифференцирующим фильтром (с возмущением)

Необходимо определить свойства, которыми обладает система на рис. 9.1. Для того, чтобы проанализировать влияние фильтра на свойства системы, рассмотрим выражение для выхода.

Рассмотрим уравнение (9.2) на разных частотах.

1) Область НЧ:

На низких частотах выражение (9.2) имеет вид

Устремим k к достаточно большим значениям (k →∞). Тогда выражение (9.3) вырождается в

Как видно из уравнения (9.4), требование по точности выполняется. То есть возмущение подавляется, а входной эталонный сигнал отрабатывается с заданной инерционностью.

Вывод 1: наличие дифференцирующего фильтра не влияет на работу системы в рабочих частотах (НЧ и СЧ).

2) Область ВЧ:

Средние частоты для дифференцирующего фильтра – это высокие частоты для объекта.

Пусть an = bn =c(n-m)=1. Тогда из уравнения (9.3) имеем

Устремим k →∞. Тогда выражение (9.5) вырождается в интегратор порядка

(n-m)

Вывод 2: наличие дифференцирующего фильтра не влияет (или его влияние мало заметно) на отработку возмущения М и входного сигнала v.

Влияние помехи на вход и выход системы

Введем в систему на рис.9.1 помеху h (t). Для простоты будем полагать, что возмущение отсутствует (M =0).

μ

Рис. 9.2 Система с реальным дифференцирующим фильтром (с помехой)

Запишем уравнение для выхода.

В области рабочих частот из выражения (9.6) имеем обычные соотношения.

Рассмотрим выражение (9.6) в области ВЧ (μ p ≈1). Тогда при an = bn =c( n-m )=1 уравнение (9.6) вырождается в следующее:

В статике из уравнения (9.7) видно, что помеха проходит на выход полностью, так как . В динамике сверхвысокая помеха не пройдёт, так как старший член будет доминировать, и дробь будет мала.

Характеристическое уравнение системы на высоких частотах имеет вид

В рабочем диапазоне частот это не проявляется, но на ВЧ характеристическое уравнение (9.8) может дать неустойчивость. В таком случае нужно рассматривать задачу стабилизации системы на быстрых движениях (на ВЧ) по характеристическому уравнению (9.8).

Влияние помех на значение управляющего воздействия

Запишем уравнение по управлению для системы на рис. 9.2.

В области низких частот из выражения (9.9) имеем обычные соотношения.

Рассмотрим выражение (9.9) на высоких частотах: , где p ≈10. Тогда (9.9) преобразовывается в

где - фильтрующий полином.

На любых частотах в уравнении (9.10) и дают соизмеримые величины. Помеха давится фильтрующим полиномом, но усиливается при помощи дифференцирования (полином ).

μ

Рис. 9.3 ПФ составляющей помехи в управлении

В таком случае используются следующие рекомендации:

На рабочих частотах , следовательно, ПФ на рис. 9.3 вырождается в . На сверхвысоких частотах ) имеем . Тогда ПФ на рис. 9.3 вырождается в .

Рис. 9.4 ПФ составляющей помехи на сверхвысоких частотах

Для того чтобы сверхвысокочастотная помеха не проходила на управление, порядок дифференцирующего полинома f должен быть больше порядка полинома С (р):

 

 







Date: 2015-07-27; view: 470; Нарушение авторских прав



mydocx.ru - 2015-2026 year. (1.962 sec.) Все материалы представленные на сайте исключительно с целью ознакомления читателями и не преследуют коммерческих целей или нарушение авторских прав - Пожаловаться на публикацию