Главная Случайная страница


Полезное:

Как сделать разговор полезным и приятным Как сделать объемную звезду своими руками Как сделать то, что делать не хочется? Как сделать погремушку Как сделать так чтобы женщины сами знакомились с вами Как сделать идею коммерческой Как сделать хорошую растяжку ног? Как сделать наш разум здоровым? Как сделать, чтобы люди обманывали меньше Вопрос 4. Как сделать так, чтобы вас уважали и ценили? Как сделать лучше себе и другим людям Как сделать свидание интересным?


Категории:

АрхитектураАстрономияБиологияГеографияГеологияИнформатикаИскусствоИсторияКулинарияКультураМаркетингМатематикаМедицинаМенеджментОхрана трудаПравоПроизводствоПсихологияРелигияСоциологияСпортТехникаФизикаФилософияХимияЭкологияЭкономикаЭлектроника






Теорема Абеля





Пусть ряд сходится в точке . Тогда этот ряд сходится абсолютно в круге и равномерно по на любом компактном подмножестве этого круга.

Обращая эту теорему, получаем, что если степенной ряд расходится при , он расходится при всех , таких что . Из первой теоремы Абеля также следует, что существует такой радиус круга (возможно, нулевой или бесконечный), что при ряд сходится абсолютно (и равномерно по на компактных подмножествах круга ), а при — расходится. Это значение называется радиусом сходимости ряда, а круг — кругом сходимости.

Для степенного ряда радиус R (половина длины) интервала сходимости можно вычислить по формуле Коши-Адамара:

причем считают, что если этот верхний предел равен нулю, то ряд сходится на всей числовой оси (радиус сходимости бесконечен), а если предел равен бесконечности, то радиус сходимости равен нулю. На каждом из концов этого интервала ряд может как сходиться (абсолютно или условно), так и расходиться. Вне этого интервала ряд расходится. Заметим, что интервал сходимости существует для каждого сходящегося хоть на каком-нибудь интервале степенного ряда. Для ряда, сходящегося только в одной точке, интервал получается вырожденным. Для расходящегося ряда интервал равен пустому множеству.

Ряды Тейлора и Маклорена
 
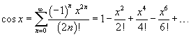
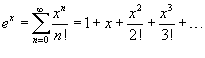
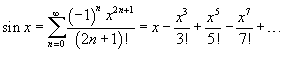
Если функция f (x) имеет непрерывные производные вплоть до (n+ 1)-го порядка, то ее можно разложить в степенной ряд по формуле Тейлора: где Rnостаточный член в форме Лагранжа определяется выражением Если приведенное разложение сходится в некотором интервале x, т.е. , то оно называется рядом Тейлора, представляющим разложение функции f (x) в точке a. Если a = 0, то такое разложение называется рядом Маклорена: Разложение некоторых функций в ряд Маклорена · · · · ·






Date: 2015-07-27; view: 474; Нарушение авторских прав



mydocx.ru - 2015-2026 year. (0.461 sec.) Все материалы представленные на сайте исключительно с целью ознакомления читателями и не преследуют коммерческих целей или нарушение авторских прав - Пожаловаться на публикацию