Главная Случайная страница


Полезное:

Как сделать разговор полезным и приятным Как сделать объемную звезду своими руками Как сделать то, что делать не хочется? Как сделать погремушку Как сделать так чтобы женщины сами знакомились с вами Как сделать идею коммерческой Как сделать хорошую растяжку ног? Как сделать наш разум здоровым? Как сделать, чтобы люди обманывали меньше Вопрос 4. Как сделать так, чтобы вас уважали и ценили? Как сделать лучше себе и другим людям Как сделать свидание интересным?


Категории:

АрхитектураАстрономияБиологияГеографияГеологияИнформатикаИскусствоИсторияКулинарияКультураМаркетингМатематикаМедицинаМенеджментОхрана трудаПравоПроизводствоПсихологияРелигияСоциологияСпортТехникаФизикаФилософияХимияЭкологияЭкономикаЭлектроника






Цифровая фильтрация сигналов





 

Обработка дискретных сигналов, как правило, реализуется в цифровой форме, т.е. дискретные отсчеты заменяются двоичными кодовыми словами и дискретная цепь становится цифровой. Если ставится задача подавлять или усиливать определенные частоты в спектре входного сигнала, то цифровая цепь называется цифровым фильтром (ЦФ). Перевод дискретных отсчетов в двоичные слова осуществляется аналого-цифровым преобразователем (АЦП), а обратная операция цифро-аналоговым преобразователем (ЦАП), с последующей обработкой фильтром (Ф) для получения аналогового выходного сигнала с заданными характеристиками. Цифровая система обработки сигналов изображена на рисунке 7.1.

Рисунок 7.1

Дискретные и цифровые цепи описываются одинаковыми уравнениями. Однако дискретизация сигнала по амплитуде приводит к погрешности квантования, которая зависит от разрядности кодовых слов.

В зависимости от наличия или отсутствия обратных связей в структурной схеме цифровой цепи, соответствующие цифровые фильтры получают ряд принципиальных особенностей.

Если обратные связи отсутствуют, то такой фильтр имеет импульсную характеристику с конечным числом отсчётов, т.е. конечно-импульсную характеристику (КИХ), относится к фильтрам КИХ-типа и называется нерекурсивным (рисунок 7.2).

Алгоритм такого фильтра определяется выражением:

Коэффициенты определяются отсчётами импульсной характеристики

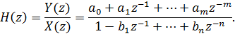
Передаточная функция такого фильтра имеет вид:

Рисунок 7.2

Отсутствие обратных связей определяет абсолютную устойчивость нерекурсивных фильтров. Нерекурсивные фильтры характеризуются простотой анализа и реализации, что привело к их широкому применению на практике.

Если структурная схема цифрового фильтра имеет обратные связи, то такой фильтр в общем случае имеет бесконечную импульсную характеристику, т.е. относится к фильтрам БИХ-типа и называется рекурсивным. Структурная схема рекурсивного фильтра представлена на рисунке 7.3.

Рисунок 7.3

Рекурсивный фильтр работает в соответствии с алгоритмом:

Передаточная функция такого фильтра имеет вид:

Рекурсивный фильтр при меньшей сложности, чем не рекурсивный, обеспечивает лучшие частотные характеристики, однако из-за наличия обратных связей в нём возможна потеря устойчивости.

 

Литература

1. Сергиенко А.Б. Цифровая обработка сигналов: Учебник для вузов.

2-е изд. – СПб.: Питер, 2006. – 751 с.:ил.

2. Оппенгейм А., Шафер Р. Цифровая обработка сигналов. – М.:

Техносфера, 2006. -856с.

3. А.Т. Бизин. Введение в цифровую обработку сигналов.

Новосибирск: Изд. Сиб. Гос. Ак. Тел. и Инф., 1998г.

4. А.А. Дахнович. Дискретные системы и цифровая обработка

сигналов. Тамбов.: Изд. ТГТУ, 2007г.

5. Стивен Смит. Цифровая обработка сигналов. Практическое

руководство для инженеров и научных работников. –

М.: Додэка – XXI, 2008. – 720с.

 

 

Учебное издание

 

Чернокозов Владимир Васильевич

 

Учебное пособие

«Цифровая обработка сигналов»

для студентов, обучающихся по направлениям подготовки бакалавров

220400.62 «Управление в технических системах»,

220200.62 «Автоматизация и управление» и специальности 220201.65 «Управление и информатика в технических системах»

 

 

Оригинал-макет подготовлен редакционно-издательским отделом

Университета Машиностроения

 

По тематическому плану внутривузовских изданий учебной литературы на 2013 г.

 

Подписано в печать Формат 60х90 1/16. Бумага 80 г/м2

Гарнитура «Таймс». Ризография. Усл. печ.л. 1,37

Тираж 100 экз. Заказ №

 

Университет Машиностроения

107023, Москва, Б. Семеновская ул., 38







Date: 2015-07-27; view: 681; Нарушение авторских прав



mydocx.ru - 2015-2026 year. (1.696 sec.) Все материалы представленные на сайте исключительно с целью ознакомления читателями и не преследуют коммерческих целей или нарушение авторских прав - Пожаловаться на публикацию