Главная Случайная страница


Полезное:

Как сделать разговор полезным и приятным Как сделать объемную звезду своими руками Как сделать то, что делать не хочется? Как сделать погремушку Как сделать так чтобы женщины сами знакомились с вами Как сделать идею коммерческой Как сделать хорошую растяжку ног? Как сделать наш разум здоровым? Как сделать, чтобы люди обманывали меньше Вопрос 4. Как сделать так, чтобы вас уважали и ценили? Как сделать лучше себе и другим людям Как сделать свидание интересным?


Категории:

АрхитектураАстрономияБиологияГеографияГеологияИнформатикаИскусствоИсторияКулинарияКультураМаркетингМатематикаМедицинаМенеджментОхрана трудаПравоПроизводствоПсихологияРелигияСоциологияСпортТехникаФизикаФилософияХимияЭкологияЭкономикаЭлектроника






Корреляционный анализ сигналов





 

Корреляционный анализ, наряду со спектральным, играет важную роль в теории сигналов. Его смысл состоит в количественном измерении степени сходства различных сигналов.

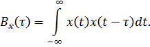
Для непериодического сигнала (t) с конечной энергией вводят понятие автокорреляционной функции (АКФ):

АКФ количественно оценивает степень отличия сигнала (t) и его смещенной во времени копии . Эта функция обладает следующими свойствами:

1. ;

2. ;

3. ;

4. т.е.

 

 


и

Функцию называют спектральной плотностью энергии непериодического сигнала или его энергетическим спектром.

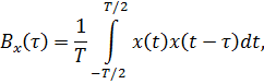
Для сигнала с , в частности, для периодического сигнала, АКФ вводится несколько иначе:

где T – некоторый интервал наблюдения.

Соответственно, – средняя мощность сигнала на интервале T.

Пример 3.4 - Определить АКФ прямоугольного импульса (рисунок 3.4)

Рисунок 3.4

 

 

Сравнивая формулы

где , можно сделать вывод, что АКФ нечувствительна к фазовым соотношениям в спектре сигнала. Таким образом, АКФ более грубый инструмент анализа структуры сигнала, устойчивый к изменчивости формы сигнала.

Если применить формулу к двум разным сигналам, то получим взаимно корреляционную функцию (ВКФ):

 







Date: 2015-07-27; view: 729; Нарушение авторских прав



mydocx.ru - 2015-2026 year. (0.467 sec.) Все материалы представленные на сайте исключительно с целью ознакомления читателями и не преследуют коммерческих целей или нарушение авторских прав - Пожаловаться на публикацию