Главная Случайная страница


Полезное:

Как сделать разговор полезным и приятным Как сделать объемную звезду своими руками Как сделать то, что делать не хочется? Как сделать погремушку Как сделать так чтобы женщины сами знакомились с вами Как сделать идею коммерческой Как сделать хорошую растяжку ног? Как сделать наш разум здоровым? Как сделать, чтобы люди обманывали меньше Вопрос 4. Как сделать так, чтобы вас уважали и ценили? Как сделать лучше себе и другим людям Как сделать свидание интересным?


Категории:

АрхитектураАстрономияБиологияГеографияГеологияИнформатикаИскусствоИсторияКулинарияКультураМаркетингМатематикаМедицинаМенеджментОхрана трудаПравоПроизводствоПсихологияРелигияСоциологияСпортТехникаФизикаФилософияХимияЭкологияЭкономикаЭлектроника






Аналоговые системы





 

Система – это упорядоченная совокупность физических объектов, между которыми существуют определенные взаимодействия. Система приводит входной сигнал в выходной сигнал . Законом связи входа и выхода является системный оператор L.

Системы, для которых выполняется принцип суперпозиций, называются линейными, т.е. реакция на сумму сигналов равна сумме реакций на эти сигналы, поданные на вход по отдельности. В противном случае система не линейна.

Если задержка входного сигнала приводит к такой же задержке выходного сигнала, не меняя его формы, то такие системы называются стационарными. В противном случае нестационарными.

Например:

- линейная стационарная система: ;

- линейная нестационарная система: ;

- нелинейная стационарная система: ;

- нелинейная нестационарная система: .

В дальнейшем рассматриваются линейные стационарные системы. Такие системы можно полностью задать одной из следующих характеристик:

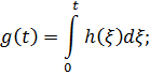
- переходная характеристика – это реакция системы на функцию включения Хевисайда :

- импульсная характеристика – это реакция системы на – функцию Дирака:

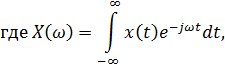
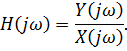
- частотная характеристика или комплексный коэффициент передачи системы:

В показательной форме ,

где – амплитудно – частотная характеристика,

– фазо - частотная характеристика.

Характеристики системы взаимосвязаны:

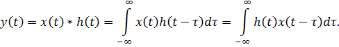
Если известна импульсная характеристика системы , то выходной сигнал системы определяется через свёртку или интеграл Дюамэля:

На основании свойства преобразования Фурье свёртку во временной области можно заменить произведением частотных характеристик входного сигнала и системы в частотной области по формулам:

и, переходя во временную область, получим:

 







Date: 2015-07-27; view: 525; Нарушение авторских прав



mydocx.ru - 2015-2026 year. (0.483 sec.) Все материалы представленные на сайте исключительно с целью ознакомления читателями и не преследуют коммерческих целей или нарушение авторских прав - Пожаловаться на публикацию