Главная Случайная страница


Полезное:

Как сделать разговор полезным и приятным Как сделать объемную звезду своими руками Как сделать то, что делать не хочется? Как сделать погремушку Как сделать так чтобы женщины сами знакомились с вами Как сделать идею коммерческой Как сделать хорошую растяжку ног? Как сделать наш разум здоровым? Как сделать, чтобы люди обманывали меньше Вопрос 4. Как сделать так, чтобы вас уважали и ценили? Как сделать лучше себе и другим людям Как сделать свидание интересным?


Категории:

АрхитектураАстрономияБиологияГеографияГеологияИнформатикаИскусствоИсторияКулинарияКультураМаркетингМатематикаМедицинаМенеджментОхрана трудаПравоПроизводствоПсихологияРелигияСоциологияСпортТехникаФизикаФилософияХимияЭкологияЭкономикаЭлектроника






Непериодические сигналы





 

Непериодический сигнал , удовлетворяющий условиям Дирихле (не должно быть разрывов 2-го рода, число разрывов 1-го рода должно быть конечным, число экстремумов должно быть конечным, абсолютная интегрируемость ), может быть представлен в виде:


Вышеуказанные формулы называются преобразованием Фурье (ПФ): первая называется обратным ПФ, а вторая прямым ПФ.

Альтернативная форма ПФ, если учесть, что круговая частота :


и называются спектральной плотностью сигнала . Это комплексные величины, т.е.

Свойства преобразования Фурье:

1. ПФ линейно, т.е.

2. Если – вещественный сигнал, то

3.

Пример 3.1 - Спектральная плотность прямоугольного видеоимпульса (рисунок 3.1).

Рисунок 3.1

В приведенном примере спектр сигнала оказался бесконечным. Это соответствует общему правилу: спектр сигнала конечной длительности бесконечен, и, наоборот, сигнал с конечным спектром имеет бесконечную длительность.

Для сигнала с бесконечным спектром вводят понятие эффективной ширины спектра , под которой понимают ту область спектра, которая несет заранее оговоренную долю энергии всего сигнала. Для нахождения используют формулу Рэлея для энергии сигнала :

Для примера 1 интегрирование в пределах основного лепестка спектра прямоугольного видеоимпульса дает 90% энергии этого импульса. Таким образом, если исходить из 90 %-ного критерия, эффективная ширина спектра прямоугольного видеоимпульса равна .

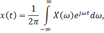
Пример 3.2 - Спектральная плотность сигнала вида (рисунок 3.2).

 

 

Рисунок 3.2

Примеры 3.1 и 3.2 демонстрируют дуальность преобразования Фурье.

 

 







Date: 2015-07-27; view: 816; Нарушение авторских прав



mydocx.ru - 2015-2026 year. (0.632 sec.) Все материалы представленные на сайте исключительно с целью ознакомления читателями и не преследуют коммерческих целей или нарушение авторских прав - Пожаловаться на публикацию