Главная Случайная страница


Полезное:

Как сделать разговор полезным и приятным Как сделать объемную звезду своими руками Как сделать то, что делать не хочется? Как сделать погремушку Как сделать так чтобы женщины сами знакомились с вами Как сделать идею коммерческой Как сделать хорошую растяжку ног? Как сделать наш разум здоровым? Как сделать, чтобы люди обманывали меньше Вопрос 4. Как сделать так, чтобы вас уважали и ценили? Как сделать лучше себе и другим людям Как сделать свидание интересным?


Категории:

АрхитектураАстрономияБиологияГеографияГеологияИнформатикаИскусствоИсторияКулинарияКультураМаркетингМатематикаМедицинаМенеджментОхрана трудаПравоПроизводствоПсихологияРелигияСоциологияСпортТехникаФизикаФилософияХимияЭкологияЭкономикаЭлектроника






Пример 2. Определить потери мощности в одном метре длины стальной трубчатой шины, имеющей наружный диаметр dнар=137 мм





Определить потери мощности в одном метре длины стальной трубчатой шины, имеющей наружный диаметр dнар =137 мм. По шине, температура которой 110°C, проходит ток I= 800 А(100*№)А с промышленной частотой f= 50 Гц.

 

Решение.

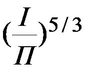
Определяем потери мощности по формуле Лысова Н.Е. (5), приняв в качестве числового коэффициента максимальную величину 3,25×10-4, тогда

Р ~=3,25×10-4× × Sохл × .

Охлаждающая поверхность одного метра шины имеет площадь

Sохл =p× dнар × l =p×137×10-3=0,43 м2.

Периметр шинопровода

П =p× dнар =3,14×137×10-3=0,43 м.

Тогда потери

Р ~=3,25×10-4× ×4,3×103× =278 Вт/м.

Пример 3.

Определить тепловые потери в чугунном кольце, охватывающем проводник с током I =2,5 А (0,5*№) частоты f= 50 Гц. Внутренний диаметр кольца Dвн =100 мм, наружный диаметр кольца Dнар =150 мм, его длина h =150 мм (рис. 15).

Рис. 15

 







Date: 2015-07-27; view: 1446; Нарушение авторских прав



mydocx.ru - 2015-2026 year. (1.537 sec.) Все материалы представленные на сайте исключительно с целью ознакомления читателями и не преследуют коммерческих целей или нарушение авторских прав - Пожаловаться на публикацию