Главная Случайная страница


Полезное:

Как сделать разговор полезным и приятным Как сделать объемную звезду своими руками Как сделать то, что делать не хочется? Как сделать погремушку Как сделать так чтобы женщины сами знакомились с вами Как сделать идею коммерческой Как сделать хорошую растяжку ног? Как сделать наш разум здоровым? Как сделать, чтобы люди обманывали меньше Вопрос 4. Как сделать так, чтобы вас уважали и ценили? Как сделать лучше себе и другим людям Как сделать свидание интересным?


Категории:

АрхитектураАстрономияБиологияГеографияГеологияИнформатикаИскусствоИсторияКулинарияКультураМаркетингМатематикаМедицинаМенеджментОхрана трудаПравоПроизводствоПсихологияРелигияСоциологияСпортТехникаФизикаФилософияХимияЭкологияЭкономикаЭлектроника






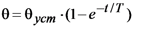
Решение. Уравнение кривой нагрева в простейшем случае имеет вид ,





Уравнение кривой нагрева в простейшем случае имеет вид ,

где ‑ установившееся превышение температуры.

Расчет qуст и Т сделаем на единице длины проводника .

Из уравнения Ньютона (10)

Р = КТ × Sохл ×(n-n0)= КТ × Sохл × qуст,

oткуда .

Охлаждающая поверхность при имеет площадь .

В свою очередь мощность Р постоянного тока I из (1)

, .

Следовательно, установившееся превышение температуры С. Постоянная времени нагрева:

,

где - теплоемкость;

- удельная теплоемкость для меди, ;

‑ масса стержня длиной в 1 м;

- плотность меди ;

- объем проводника ;

- охлаждающая поверхность.

Таким образом, уравнение кривой нагрева:

Для построения рассмотрим две точки (рис.17):

при ;

при .

5Т- это время, в

течение которого переходный процесс нагрева практически закончится.

Рис. 17

 







Date: 2015-07-27; view: 819; Нарушение авторских прав



mydocx.ru - 2015-2026 year. (0.468 sec.) Все материалы представленные на сайте исключительно с целью ознакомления читателями и не преследуют коммерческих целей или нарушение авторских прав - Пожаловаться на публикацию