Главная Случайная страница


Полезное:

Как сделать разговор полезным и приятным Как сделать объемную звезду своими руками Как сделать то, что делать не хочется? Как сделать погремушку Как сделать так чтобы женщины сами знакомились с вами Как сделать идею коммерческой Как сделать хорошую растяжку ног? Как сделать наш разум здоровым? Как сделать, чтобы люди обманывали меньше Вопрос 4. Как сделать так, чтобы вас уважали и ценили? Как сделать лучше себе и другим людям Как сделать свидание интересным?


Категории:

АрхитектураАстрономияБиологияГеографияГеологияИнформатикаИскусствоИсторияКулинарияКультураМаркетингМатематикаМедицинаМенеджментОхрана трудаПравоПроизводствоПсихологияРелигияСоциологияСпортТехникаФизикаФилософияХимияЭкологияЭкономикаЭлектроника






Решение. Для температуры квадратичный импульс плотности тока определим по кривой (рис





Для температуры квадратичный импульс плотности тока определим по кривой (рис. 19).

Следовательно, конечный квадратичный импульс плотности тока:

По кривой адиабатического нагрева (см. рис. 19) для находим .

Пример 8.

Определить необходимый диаметр поперечного сечения круглой проволоки нихромового элемента сопротивления реостата, если известно, что в момент времени, когда элемент сопротивления нагреется до температуры , через него в течение времени проходит ток (10*№). Допустимая температура нагрева нихрома в кратковременном режиме .

 

Решение.

По кривой адиабатического нагрева для нихрома [2], изображенной на рис. 20, определим конечный, или суммарный квадратичный импульс плотности тока при допустимой температуре

,

при .

 

Рис. 20

Допустимый квадратичный импульс плотности тока:

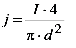
Учитывая, что плотность тока

где - проходящий ток,

- площадь поперечного сечения проводника,

,

следовательно , а .

Тогда диаметр поперечного сечения в проводнике:

.

 







Date: 2015-07-27; view: 1196; Нарушение авторских прав



mydocx.ru - 2015-2026 year. (0.562 sec.) Все материалы представленные на сайте исключительно с целью ознакомления читателями и не преследуют коммерческих целей или нарушение авторских прав - Пожаловаться на публикацию