Главная Случайная страница


Полезное:

Как сделать разговор полезным и приятным Как сделать объемную звезду своими руками Как сделать то, что делать не хочется? Как сделать погремушку Как сделать так чтобы женщины сами знакомились с вами Как сделать идею коммерческой Как сделать хорошую растяжку ног? Как сделать наш разум здоровым? Как сделать, чтобы люди обманывали меньше Вопрос 4. Как сделать так, чтобы вас уважали и ценили? Как сделать лучше себе и другим людям Как сделать свидание интересным?


Категории:

АрхитектураАстрономияБиологияГеографияГеологияИнформатикаИскусствоИсторияКулинарияКультураМаркетингМатематикаМедицинаМенеджментОхрана трудаПравоПроизводствоПсихологияРелигияСоциологияСпортТехникаФизикаФилософияХимияЭкологияЭкономикаЭлектроника






Термическая стойкость электрических аппаратов





Термической стойкостью электрических аппаратов называется способность их выдерживать без повреждений термическое воздействие проходящих по токоведущим частям токов заданной длительности. Количественной характеристикой термической стойкости является токтермической стойкости.

В режиме короткого замыкания (а это аварийный режим) электрические аппараты подвергаются значительным термическим воздействиям. Поэтому время действия этого режима ограничивается. Для большинства электрических аппаратов это время t =0,1T, т.е. не превышает время нагрева при адиабатном процессе (нагрев без теплообмена с окружающей средой).

Уравнение теплового баланса имеет вид

.

Для единицы объема проводника

,

где j - плотность электрического тока в проводнике.

Можно показать [1], что температурная зависимость при адиабатном процессе в режиме короткого замыкания представляет собой

.

Величина j2t называется квадратичным импульсом плотности тока.

(j2t)Н
(j2t)ЗАД
 
Кривые адиабатического нагрева (рис. 12) позволяют решать прямую и обратную задачи, т.е. по значению j2t находить температуру проводника и обратно по заданной температуре ‑ допустимое значение квадратичного импульса плотности тока.

Обычно кривая адиабатического нагрева приведена для температуры = 0. Если ≠ 0 и по заданному значению j2t требуется найти температуру проводника, то прежде по кривой (см. рис. 12) для заданной находим (j2t)Н. Затем по оси абсцисс от значения (j2t)Н откладываем отрезок, равный (j2t)ЗАД , по кривой находим конечную температуру проводника .

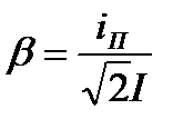
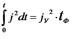
На практике вводят понятие “фиктивное время” tФ короткого замыкания ‑ это время, в течение которого установившийся ток короткого замыкания оказывает такое же термическое воздействие на токоведущие части, как дей-ствительный ток короткого замыкания за действительное время короткого замыкания.

Справедливо соотношение

,

где jУ - установившееся значение плотности токa короткого замыкания.

Обычно фиктивное время короткого замыкания определяется по кривым tФ (β), где , iП – пиковое значение тока короткого замыкания, I - действующее значение установившегося тока короткого замыкания.

Введя понятие “фиктивное время короткого замыкания”, можно вычислить квадратичный импульс плотности тока и для расчета воспользоваться кривыми адиабатического нагрева.

Зная время короткого замыкания и материал проводника, а также его допустимую температуру кратковременного нагрева, можно по кривым адиабатического нагрева определить плотность тока термической стойкости аппарата. После этого можно решать две задачи: по известному поперечному сечению проводника определить ток термической стойкости или по заданному току термической стойкости найти необходимое поперечное сечение токоведущих частей.

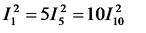
Расчетные времена короткого замыкания стандартизированы и приняты равными 10, 5 и 1 с. В соответствии с этими временами и токи термической стойкости носят названия 10-ти секундный, 5- ти секундный и 1 -секундный.

Так как времена короткого замыкания и плотности тока
взаимосвязаны:

,

легко получить формулы пересчета токов термической стойкости:

.







Date: 2015-07-27; view: 3650; Нарушение авторских прав



mydocx.ru - 2015-2026 year. (0.931 sec.) Все материалы представленные на сайте исключительно с целью ознакомления читателями и не преследуют коммерческих целей или нарушение авторских прав - Пожаловаться на публикацию