Главная Случайная страница


Полезное:

Как сделать разговор полезным и приятным Как сделать объемную звезду своими руками Как сделать то, что делать не хочется? Как сделать погремушку Как сделать так чтобы женщины сами знакомились с вами Как сделать идею коммерческой Как сделать хорошую растяжку ног? Как сделать наш разум здоровым? Как сделать, чтобы люди обманывали меньше Вопрос 4. Как сделать так, чтобы вас уважали и ценили? Как сделать лучше себе и другим людям Как сделать свидание интересным?


Категории:

АрхитектураАстрономияБиологияГеографияГеологияИнформатикаИскусствоИсторияКулинарияКультураМаркетингМатематикаМедицинаМенеджментОхрана трудаПравоПроизводствоПсихологияРелигияСоциологияСпортТехникаФизикаФилософияХимияЭкологияЭкономикаЭлектроника






Добування і хімічні властивості хіноліну і його гідроксі-, та амінопохідних





Хинолин — органическое соединение гетероциклического ряда. Применяют как растворитель для серы, фосфора и др., для синтеза органических красителей. Производные хинолина, используют в медицине (плазмоцид,хинин).

 

Хинолин встречается в составе каменноугольной смолы, из которой и добывается.

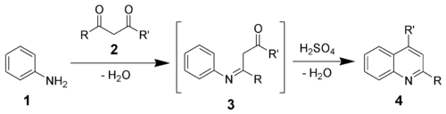
· Производные хинолина с заместителями в положениях 2 и 4 можно получить путем конденсации анилина (1) и β-дикетонов (2) в кислой среде. Этот метод получил название «синтез хинолинов по Комба»

· Из анилина и α,β-ненасыщеных альдегидов (метод Дёбнера-Миллера). Механизм данной реакции очень близок к механизму реакции Скраупа

· Из 2-аминобензальдегида и карбонильных соединений, содержащих α-метиленовую группу (синтез Фридлендера). Метод практически не употребляется из-за низкой доступности о-карбонильных производных анилина

· Конденсацией анилина и глицерина в присутствии серной кислоты (метод Скраупа)

В X. имеются два ядра — одно бензольное, а другое пиридинное; X. представляет бесцветную, сильно преломляющую свет жидкость, он - одноатомное основание и образует соли с кислотами. При окислении X. и его производных бензольное ядро большей частью является менее постоянным, чем пиридиновое. Но зато пиридиновое ядро X. легче гидрируется, чем бензольное.

Хинолин является ароматическим соединением: его молекула имеет плоское строение и единую сопряженную 10 электронную систему.

По химическим свойствам хинолин схож с пиридином. Для него характерны реакции:
• с участием гетероатома;
• электрофильного и нуклеофильного замещения;
• окисления;
• восстановления.

1. Реакции по гетероатому. Наличие в молекуле хинолина атома азота пиридинового типа обуславливает основные свойства. Как основание хинолин немного слабее пиридина (pKRH+ хинолина в Н20 = 4,94, рКвн+пиридина = 5,25).
Хинолин образует соли с сильными кислотами, алкил- и ацилогенидами.


2. Реакции электрофильного и нуклиофильного замещения. В результате электроноакцепторного влияния гетероатома в молекуле хинолина электронная плотность распределена неравномерно: в пиридиновом кольце она ниже, чем в бензольном. Поэтому при действии электрофилъных реагентов замещение проходит по бензольному кольцу, а нуклеофильное — по пиридиновому.

Реакции электроф. замещения в молекуле хинолина протекают преимущественно по положению 5 и 8.
При обработке нитрующей смесью образуются 5- и 8-нитрохинолины. Сульфирование концентрированной серной кислотой при 220 С. приводит к образованию 8-хинолинсульфокислоты, а при 300 "С — 6-хинолинсульфокислоты (в этих условиях происходит перегруппировка 8-изомера в более термодинамически выгодный 6-изомер). 3. Реакции восстановления и окисления. При восстановлении хинолина в первую очередь восстанавливается пиридиновое ядро. Образование продуктов реакции зависит от катализатора и условий проведения. Окисление хинолина перманганатом калия в щелочной среде приводит к расщеплению бензольного кольца и образованию хинолиновой (2,3-пиридиндикарбоновой) кислоты. В присутствии иероксикислот хинолин образует N-оксид..

Нитрохинолин получается прямым нитрованием X.; Нитрохинолины при восстановлении переходят в аминохинолины. К аминохинолиновым препаратам относят хингамин (делагил, хлорохин,

резохин) и гидроксихлорохин (плаквенил) применяют для лечения ревматизма.

При замене водорода в X. группой OH получаются оксихинолины C9H6(OH)N, которые обладают различными свойствами, смотря по положению водного остатка в бензольном или пиридинном ядре.Оксихинолина производные — синтетические противомикробные средства, являющиеся производными оксихинолина. В медицинской практике используют главным образом производные 8-оксихинолина (нитроксолин, хинозол, хиниофон, энтеросептол) и 4-оксихинолина (кислоту оксолиниевую). Антисептик и антибиотик.


 







Date: 2015-07-27; view: 764; Нарушение авторских прав



mydocx.ru - 2015-2026 year. (0.708 sec.) Все материалы представленные на сайте исключительно с целью ознакомления читателями и не преследуют коммерческих целей или нарушение авторских прав - Пожаловаться на публикацию