Главная Случайная страница


Полезное:

Как сделать разговор полезным и приятным Как сделать объемную звезду своими руками Как сделать то, что делать не хочется? Как сделать погремушку Как сделать так чтобы женщины сами знакомились с вами Как сделать идею коммерческой Как сделать хорошую растяжку ног? Как сделать наш разум здоровым? Как сделать, чтобы люди обманывали меньше Вопрос 4. Как сделать так, чтобы вас уважали и ценили? Как сделать лучше себе и другим людям Как сделать свидание интересным?


Категории:

АрхитектураАстрономияБиологияГеографияГеологияИнформатикаИскусствоИсторияКулинарияКультураМаркетингМатематикаМедицинаМенеджментОхрана трудаПравоПроизводствоПсихологияРелигияСоциологияСпортТехникаФизикаФилософияХимияЭкологияЭкономикаЭлектроника






Пример 5





Дано: Прямоугольное сечение с размерами b=300 мм, h=600 мм.Бетон тяжелый класса С20/25 (fck=20 МПа, g с = 1,5, fcd = fck /g c = 20/1,5 = 13,33 МПа). Арматура класса S500 (fyk = 500 МПа, fyd = 417 МПа). Изгибающий момент действующий в сечении MSd = 230 кН×м. Требуется: Определить площадь поперечного сечения и диаметр продольной арматуры.
Исходные данные MSd, b, h, fyk, fyd, g с,.fcd,, , fck, ,

 

 

 

требуется сжатаяненапрягаемая арматура

ДАНЕТ

 

 


 

либо по таблице приложения 7

 

 


 

 

 

 


ДА НЕТНЕТ

 

 


конструирование

 

 


конец

 

 

Рис 4. Блок-схема алгоритма расчета площади поперечного сечения продольной арматуры железобетонных элементов прямоугольного профиля при действии изгибающего момента по методу предельных усилий

нет
нет
да
да
Исходные данные Мsd,b,h,c, fyk, fyd, , , fck, ,α,ωccu, εsy, d= h-c  
либо по таблице приложения 7.1
Требуется сжатая арматура
либо по таблице приложения 7.1
Конец

 

Рис.5. Блок-схема алгоритма расчета площади поперечного сечения продольной арматуры железобетонных элементов прямоугольного профиля при действии изгибающего момента по упрощенному деформационному методу при

да
да
Исходные данные Мsd,b,h,c,с1, fyk, fyd, , , fckmin,α, d= h-c  
либо по таблице приложения 7  
Требуется сжатая арматура
Конец
Смотри блок-схему № 5
нет
нет

 

 

Рис.6. Блок-схема алгоритма расчета площади поперечного сечения продольной арматуры железобетонных элементов прямоугольного профиля при действии изгибающего момента по упрощенному деформационному методу при

Исходные данные: , класс арматуры и бетона
Принимаем bw=180,200,220,250,300 мм – для балок b=1000 – для плит
Принимаем ξ=0,2-0,4 – для балок ξ=0,1-0,2 – для плит
По таблице приложения 7 либо 7.1 по ξ определяем
h=d+c; с= сcov+Ø/2 h принимается кратным 10мм – для плит 50мм – для балок с учетом конструктивных требований
Проверяется b/h=0.3...0.5 для балок
d=h-c
Расчет продолжается по блок схемам алгоритмов расчета продольной арматуры

 

Рис.7. Блок-схема алгоритма определения размеров прямоугольного сечения и расчета площади поперечного сечения продольной арматуры при действии изгибающего момента

 

 

Решение:

(алгоритм расчета по блок-схеме рис.4)

1. Задаемся с=50мм и определяем d

d=h-c=600-50=550мм

2. Определяем значение коэффициента

 

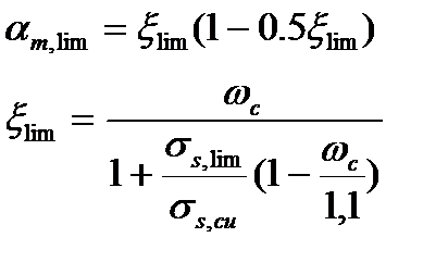
3. Граничная относительная высота сжатой зоны:

ωс=0.85-0.008·fcd=0.85-0.008-13.33=0.743

αm,limlim(1-0.5·ξlim)=0.581·(1-0.5·0.581)=0.412

 

4. Определяем

 

 

5. Сравниваем αm и αm,lim. Так как αmm,lim – по расчету не требуется сжатая арматура.

 

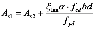
6. Находим требуемую площадь растянутой продольной арматуры

Принимаем 2Ø32S500 (As1=1232мм2)

Выполним расчет с использованием приложения 7:

При по табл. приложения 7

Так как , что означает полное использование растянутой арматуры.

Как видно, при использовании приложения 7 трудоемкость расчета существенно упрощается.

 







Date: 2015-07-24; view: 656; Нарушение авторских прав



mydocx.ru - 2015-2026 year. (0.517 sec.) Все материалы представленные на сайте исключительно с целью ознакомления читателями и не преследуют коммерческих целей или нарушение авторских прав - Пожаловаться на публикацию