Главная Случайная страница


Полезное:

Как сделать разговор полезным и приятным Как сделать объемную звезду своими руками Как сделать то, что делать не хочется? Как сделать погремушку Как сделать так чтобы женщины сами знакомились с вами Как сделать идею коммерческой Как сделать хорошую растяжку ног? Как сделать наш разум здоровым? Как сделать, чтобы люди обманывали меньше Вопрос 4. Как сделать так, чтобы вас уважали и ценили? Как сделать лучше себе и другим людям Как сделать свидание интересным?


Категории:

АрхитектураАстрономияБиологияГеографияГеологияИнформатикаИскусствоИсторияКулинарияКультураМаркетингМатематикаМедицинаМенеджментОхрана трудаПравоПроизводствоПсихологияРелигияСоциологияСпортТехникаФизикаФилософияХимияЭкологияЭкономикаЭлектроника






Конструирование второстепенной балки





 

Второстепенная балка при подборе продольной арматуры в пролетах имеет тавровое сечение с шириной полки . Если полка тавра расположена в растянутой зоне, то она при расчете не учитывается и в этом случае расчет проводят как для прямоугольного сечения шириной равной ширине ребра . Поэтому размеры сечения уточняют по наибольшему опорному моменту :

.

Максимальная расчетная ширина полки ограничивается, поскольку ее совместная работа с ребром в предельной стадии может быть не обеспечена вследствие местной потери устойчивости полки и ее чрезмерного прогиба.

 

При предельном проценте армирования, либо большем, изгибаемые элементы разрушаются хрупко по сжатой зоне бетона без развития значительных пластических деформаций. В этом случае в статически неопределимых конструкциях к моменту разрушения перераспределения усилий полностью не реализуется, и несущая способность конструкций не может быть оценена расчетом по методу предельного равновесия. Поэтому процент армирования статически неопределимых конструкций следует принимать меньше предельного. В связи с этим при подборе сечений, в которых намечено образование пластических шарниров, следует принимать , а армирование осуществлять сталями, допускающими достаточно большие деформации.

Определив необходимое сечение арматуры в пролетах и на опорах, переходят к назначению количества и диаметра стержней. Сначала подбирают арматуру в пролетах. При этом следует руководствоваться следующими положениями:

- диаметр рабочих стержней принимают от 12 до 25мм;

- следует стремиться к наименьшему количеству разных диаметров рабочей арматуры;

- при обрыве стержней до опоры должно быть доведено не мене 50% рабочей арматуры и не менее двух стрежней. Места обрыва или отгиба стержней назначаются в соответствии с эпюрами изгибающих моментов после построения эпюры материалов;

- расстояние в свету между рядами при двухрядном расположении должно быть не менее половины диаметра и не менее 25мм;

- толщина защитного слоя у нижней и верхней граней при диаметре продольной арматуры до 32мм принимается согласно классу по условиям эксплуатации и не менее максимального размера зерна крупного заполнителя. Толщина защитного слоя у боковых граней хомутов должна быть не менее 15мм.

Конструирование арматуры балки может быть выполнено в двух вариантах:

- с применением вязаной арматуры (отдельными стержнями);

- армирование сварными сетками. Пролетную арматуру конструируют в виде плоских вертикальных сеток (каркасов), которые объединяют в пространственные с помощью монтажных стержней с соблюдением требований по обеспечению защитных слоев и требуемого расстояния в свету между стрежнями. Опорные сечения армируют плоскими сетками (каркасами), раздвинутыми от оси главной балки на расстояние и ( - расчетный пролет второстепенной балки, или ).

Расчет прочности наклонных сечений по поперечной силе производится для трех наклонных сечений: у крайней опоры и у первой промежуточной опоры справа и слева.

 

Требуемую площадь сечения арматуры при действии положительного момента ведем как для таврового сечения с полкой в сжатой зоне, при действии отрицательного момента полка находится в растянутой зоне и тогда расчетное сечение будет прямоугольным.

 

 

При расчете элементов, имеющих полку в сжатой зоне сечения, следует ограничивать значение ее расчетной ширины beff из условия, что размер свеса полки в каждую сторону от ребра должен быть не более 1/6 пролета элемента и не более:

¾ при наличии поперечных ребер или при h'f ³0,1 h ¾ половины расстояния в свету между продольными ребрами;

при отсутствии поперечных ребер или при расстоянии между ними большем, чем расстояние между продольными ребрами, и h'f <0,1 h —6 h'f

Принятые обозначении, см. рисунок ниже

 

 

Определим расчётную ширину полки таврового сечения:

-

-

Тогда расчетные размеры сечения второстепенной балки:

; ; ; .

Крайние и средние пролёты балки армируем двумя каркасами КР-1 и КР-2 соответственно. В каждом каркасе по 2 продольных стержня, расположенных в 2 ряда. Верхние стержни каркаса КР-1 принимаем 2Æ12 S400 по одному стержню в каркасе исходя из конструктивных требований. Верхние стержни каркаса КР-2 определяются по расчёту, так как в средних пролётах действуют отрицательные моменты.

На промежуточных опорах (В и С) второстепенная балка армируется 2-мя сварными сетками.


Определяем площадь сечения продольной рабочей арматуры в первом пролете при действии положительного изгибающего момента упрощенным деформационным методом.

Задаемся величиной , тогда рабочая высота сечения второстепенной балки . Определяем положение границы сжатой зоны:

, нейтральная ось проходит в полке, сечение можно рассматривать как прямоугольное с шириной .

При соблюдении определяем и требуемая площадь сечения растянутой арматуры:

Принимаем 2 Ø14 и 2 Ø16мм с площадью 710 мм2.

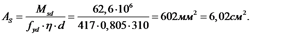
Определяем площадь сечения рабочей арматуры над первой промежуточной опорой при действии изгибающего момента упрощенным деформационным методом.

Задаемся величиной , тогда рабочая высота сечения второстепенной балки . Сечение рассматриваем как прямоугольное с шириной

При соблюдении определяем и требуемая площадь сечения растянутой арматуры:

На опоре В площадь сечения арматуры в одной сетке на 1м полки второстепенной балки шириной = 1615мм равна:

.

Проектируем сварную рулонную сетку с рабочими стержнями Æ5 мм из стали класса S500 с шагом 100 мм (Аs = 1,96 см2) с укладкой в два ряда, продольные распределительные стержни принимаем Æ4 мм из стали класса S500 с шагом 350 мм. Принимаем сетку шириной 1660мм и длиной 2420мм (4,25/3+4,0/4):

Аналогичным образом определяем требуемую площадь сечения рабочей арматуры второстепенной балки для остальных сечений, см. табл. 7.3.Расчет также приведен ниже.

 

Определяем площадь сечения продольной рабочей арматуры во втором пролете при действии положительного изгибающего момента упрощенным деформационным методом.

Задаемся величиной , тогда рабочая высота сечения второстепенной балки . Определяем положение границы сжатой зоны:

, нейтральная ось проходит в полке, сечение можно рассматривать как прямоугольное с шириной .

При соблюдении определяем и требуемая площадь сечения растянутой арматуры:

Принимаем 2 Ø12 и 2 Ø14мм с площадью 534 мм2.


Таблица 7.3 Расчет армирования второстепенной балки
Сечение Положение арматуры Изгибающий момент в сечении Требуемая площадь арматуры Принятое армирование Принятая площадь
1 пролет Нижняя 79,6 6,19 2 Ø14 2 Ø16 7,1
1 пролет Верхняя - Монтажная конструктивная 2 Ø12 1,57
1-ая опора (В) Верхняя - 62,6 1,9 1,96
2 пролет Нижняя 55,4 4,7 2 Ø12 2 Ø14 5,34
2 пролет Верхняя     2 Ø12 1,57

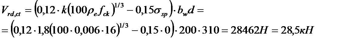
Максимальная расчетная поперечная сила на первой промежуточной опоре (В) слева: VSd = 133,8кН.

1. Определяем расчетную поперечную силу, воспринимаемую элементом без вертикальной и наклонной арматуры:

где

, где - площадь арматуры, доведенной до опоры (2Ø16мм);

, т.к. плита работает без предварительного напряжения;

но не менее:

;

следовательно, Vrd,ct=28,5 кН <Vsd= 133,8 кН; => требуется установка поперечной арматуры.

Конструктивно шаг поперечной арматуры:

- на приопорных участках длиной при высоте второстепенной балки должен быть не более и 150мм, принимаем 150мм;

- в средней части пролета балки не более и , принимаем шаг ;

- по всей длине элемента из условия обеспечения работы продольной арматуры, установленной по расчету в сжатой зоне сечения при – не более 500 мм и не более 20Æ сварных каркасах: 240мм.


Диаметр поперечных стержней устанавливают не менее, чем из условия сварки их с продольной арматурой диаметром Ø=16мм. Принимаем 2Øsw= 6 мм с площадью Asw = 57мм2.

При классе S500 = 313 МПа.

Вычисляем:

- минимальное из значений:

2d, .

Определяем

;

;

где ;

- для тяжелого бетона,

; ;

;

Тогда и ;

Поперечное усилие, воспринимаемое бетоном над вершиной наклонной трещины:

кН

Тогда

, прочность по наклонной трещине обеспечена.

К проектированию каркасов КР-1, КР-2 можно приступать после построения эпюры материалов и расчета длины анкеровки для установления точек обрыва второго ряда нижней пролетной арматуры.

В рамках курсового проекта длину анкеровки можно не считать, а обрываемые в пролете стержни арматуры следует заводить за точку теоретического обрыване менее 0,5h + 20Æ, где h – высота конструкции в точке теоретического обрыва.

 







Date: 2015-07-24; view: 1962; Нарушение авторских прав



mydocx.ru - 2015-2026 year. (0.705 sec.) Все материалы представленные на сайте исключительно с целью ознакомления читателями и не преследуют коммерческих целей или нарушение авторских прав - Пожаловаться на публикацию