Пример 9
| Граница сжатой зоны в ребресм. блок-схему 9
| принимаем
| Исходные данные
| | Рис.8. Блок-схема алгоритма прочности таврового сечения при действии изгибающего момента для расположения нейтральной оси в полке (метод предельных усилий)
|
Расчет прямоуг.сечений с граница сжатой зоны в полке
| принимаем
| | Прочность не обеспечена
обеспечена
| Исходные данные
| Рис 9. Блок-схема алгоритма прочности таврового сечения при действии изгибающего момента для расположения нейтральной оси в ребре (метод предельных усилий)
| Нейтральная ось располагается в
пределах полки расчёт ведём как для прямоугольного профиля с шириной bf`
|
или по табл. прил. 7
| | Требуется сжатая арматура
| | Нейтральная ось располагается в
ребре расчёт ведём как для таврового профиля (рис.11)
| Исходные данные
|
Рис 10. Блок-схема алгоритма расчета площади поперечного сечения продольной арматуры железобетонных элементов таврового профиля при действии изгибающего момента для случая расположения
нейтральной оси в полке
ДА
|
или по табл.
прил. 7
| | Требуется сжатая арматура
| | Расчет как для прямоугольного
профиля (рис.10)
| Исходные данные
| Рис.11. Блок-схема подбора арматуры в тавровом сечении при расположении нейтральной оси в ребре
Решение:
(алгоритм расчета по блок-схеме рис.8)
1. Положение границы сжатой зоны
=1·13,33·300·100=399900Н=399,9кН - продольная сила, воспринимаемая полкой таврового сечения
=417·982=409494Н=409,49кН - продольная сила, воспринимаемая арматурой
Так как Nf =399.9кН <Ns =409.49кН – граница сжатой зоны находится в ребре и расчет ведется как для таврового сечения.
2. Определяем d=h-c=600-50=550 мм
3.Расчетная высота сжатой зоны
мм
4. Относительная высота сжатой зоны:

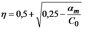
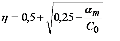
5. Граничная относительная высота сжатой зоны:

где ω=kc-0.008·fcd=0.85-0.008*13.33=0.74
kc=0.85 для тяжелого бетона
6. Сравниваем значения относительной высоты сжатой зоны с граничной
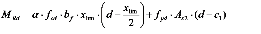
Т.к. ξ<ξlimопределяем предельный момент, воспринимаемый сечением по формуле:
7. MR d=250кН·м>Msd=200 кН·м,
7. Прочность сечения обеспечена.
Date: 2015-07-24; view: 505; Нарушение авторских прав | Понравилась страница? Лайкни для друзей: |
|
|