Главная Случайная страница


Полезное:

Как сделать разговор полезным и приятным Как сделать объемную звезду своими руками Как сделать то, что делать не хочется? Как сделать погремушку Как сделать так чтобы женщины сами знакомились с вами Как сделать идею коммерческой Как сделать хорошую растяжку ног? Как сделать наш разум здоровым? Как сделать, чтобы люди обманывали меньше Вопрос 4. Как сделать так, чтобы вас уважали и ценили? Как сделать лучше себе и другим людям Как сделать свидание интересным?


Категории:

АрхитектураАстрономияБиологияГеографияГеологияИнформатикаИскусствоИсторияКулинарияКультураМаркетингМатематикаМедицинаМенеджментОхрана трудаПравоПроизводствоПсихологияРелигияСоциологияСпортТехникаФизикаФилософияХимияЭкологияЭкономикаЭлектроника






Компоновка монолитного ребристого перекрытия





 

Монолитные ребристые перекрытия представляют собой систему монолитно связанных между собой перекрестных балок и плит. Полки ребер – плитная часть, работают на местный изгиб. При этом, в зависимости от соотношения размеров ячейки (участок перекрытия, заключенный между балками) выделяют ребристые перекрытия с балочными плитами и плитами, опертыми по контуру. К балочным относятся плиты с соотношением сторон ячеек , они работают на изгиб только в одном коротком направлении. К плитам, опертым по контуру, относятся плиты с соотношением , они работают на изгиб в двух взаимо перепендикулярных направлениях и армируются соответственно сетками с перекрестной рабочей арматурой.

 

Пролеты главных и второстепенных балок определяются сеткой колонн: для типовых решений – 6 или 9м, для нестандартных решений пролеты второстепенных балок принимают в пределах 5…7м, а главных балок – 6…8м. Расстояние между второстепенными балками, определяющее пролет плиты, назначают в интервале 1,4…2,4м. Более редкое расположение второстепенных балок приводит к увеличению толщины плиты и соответственно расхода бетона на ее изготовление. При этом на плиту требуется до 60% бетона от общего расхода на все перекрытие.

Для обеспечения возможности выполнения статического расчета с применением готовых формул и таблиц элементы перекрытия следует размещать с равными пролетами или пролетами, отличающимися не более чем на 20% для плит и не более чем на 10% для балок.

Предварительные размеры поперечных сечений плиты, балок и колонн можно вычислять по следующим формулам:

- толщина плиты, см: ;

- высота главной балки, см: ;

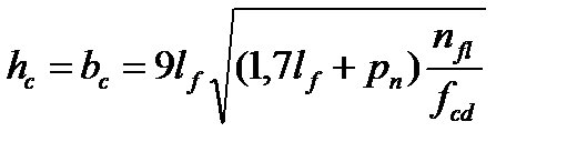
- сторона квадратного сечения колонны, см: .

В вышеприведенных формулах , , - пролеты соответственно плиты, второстепенной и главной балок, м; - нормативное значение временной нагрузки на перекрытие, кПа; , , - количество пролетов соответственно плиты, второстепенной и главной балок, шт.; - высота этажа, м; - количество вышележащих этажей, имеющих колонны.

Высоту сечения главной балки ребристого перекрытия из условия жесткости следует принимать , а высоту поперечного сечения второстепенной балки – (высота сечения балок включает в себя и толщину плиты). Ширина поперечного сечения главных и второстепенных балок принимается равной 0,3…0,5 их высоты, при этом ширину балок не рекомендуется назначать менее 200мм.

Толщина монолитной плиты должна быть оптимальной, поскольку на ее изготовление расходуется наибольшая часть бетона от общего количества. Предварительную толщину в зависимости от пролета и нагрузки и из условий жесткости можно определять по табл. 5.1, 5.2. Кроме того, толщина плиты по конструктивным соображениям для монолитных перекрытий производственных зданий назначается не менее 70мм; для подземного перехода толщину плиты принимаем минимум 150мм.

Таблица 5.1 - Ориентировочные минимальные толщины балочных плит междуэтажных перекрытий зданий в зависимости от полезной нагрузки см

Пролет плиты, м
1,5 1,8 2,0 2,4 2,6 2,8
2,5       7÷9   8÷10
4,0     7÷9      
5,0   7÷9     8÷10  
7,0 7÷9          
9,0       8÷10    
10,0            
12,0     8÷10      
14,0 8÷10         10÷12

 

Таблица 5.2 - Рекомендуемые минимальные толщины балочных плит по условиям жесткости

Характер опирания Вид бетона
Тяжелый Легкий
Свободное опирание
Упругая заделка
Упругая заделка принимается при монолитно связанных плитах с железобетонными балками, свободным считается опирание на стену

 

Требуется выполнить расчет и проектирование монолитного перекрытия над пешеходным переходом в осях «Б-Е» «7-8» (см. чертеж). По заданию переход трехпролетный. Временная нагрузка (от автомобильного транспорта, снеговая, обледенение и т.п.) по заданию М инимальный класс бетона для изготовления конструкций С16/20. Коэффициент надежности по назначению здания .

 

Выполняем компоновку монолитного ребристого перекрытия.

Главные балки размещаем по ходу движения (вдоль цифровых осей). Расстановку колонн выполняем через 5.85м, т.е. номинальный пролет главных балок – 5.85м. Второстепенные балки размещаются с шагом 1.4-2.4м. Принимаем их шаг 5.85/3=1.95м.


Размеры пролетов по заданию по осям 4.0м, 4.25м и 4.0м. Указанные размеры пролетов являются пролетами второстепенных балок Проверим соблюдение условия для балочных плит (отношение длинной к короткой сторонам плит)

Далее задаемся предварительными размерами сечений элементов для выбранного варианта компоновки.

Толщина плиты принимается из следующих условий:

- не менее 150мм (для монолитных перекрытий над переходом);

- из условий прочности по приближенной эмпирической зависимости при полной расчетной нагрузке ;

- по конструктивным требованиям из условий жесткости по таблицам 5.1, 5.2 толщина плитной части должна быть в пределах 80…100мм.

Принимаем окончательно толщину плиты

 

 

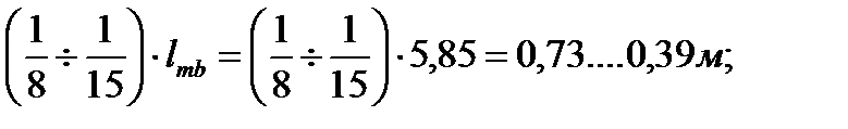
Высота второстепеннойбалки предварительно определяется:

- из условия жесткости

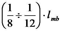
- по приближенной формуле из условия прочности

.

Принимаем высоту второстепенной балки

 

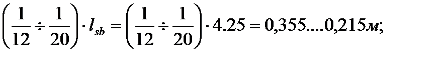
Высота главной балки предварительно определяется:

- из условия жесткости

- по приближенной формуле из условия прочности

Принимаем высоту главной балки .

 

Ширина главной и второстепенной балок должна быть и не менее 200мм. Тогда п ринимаем ширину второстепенной балки , главной балки .

 

Сторона квадратного сечения колонны:

,принимаем колонну сечением 300х300мм.







Date: 2015-07-24; view: 1278; Нарушение авторских прав



mydocx.ru - 2015-2026 year. (0.742 sec.) Все материалы представленные на сайте исключительно с целью ознакомления читателями и не преследуют коммерческих целей или нарушение авторских прав - Пожаловаться на публикацию