Главная Случайная страница


Полезное:

Как сделать разговор полезным и приятным Как сделать объемную звезду своими руками Как сделать то, что делать не хочется? Как сделать погремушку Как сделать так чтобы женщины сами знакомились с вами Как сделать идею коммерческой Как сделать хорошую растяжку ног? Как сделать наш разум здоровым? Как сделать, чтобы люди обманывали меньше Вопрос 4. Как сделать так, чтобы вас уважали и ценили? Как сделать лучше себе и другим людям Как сделать свидание интересным?


Категории:

АрхитектураАстрономияБиологияГеографияГеологияИнформатикаИскусствоИсторияКулинарияКультураМаркетингМатематикаМедицинаМенеджментОхрана трудаПравоПроизводствоПсихологияРелигияСоциологияСпортТехникаФизикаФилософияХимияЭкологияЭкономикаЭлектроника






Ш еселі Риман интегралында айнымалыны ауыстыру. Цилиндрлік және сфералық координат системалары





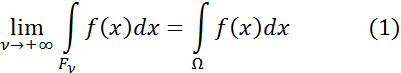
иыны беріліп, f(x) функциясы жиынында Риман бойынша интегралдансын. Салдар бойынша

үшін де орындалады: ,

демек, ,

яғни

Бұдан

(3) лемма бойынша

(4)

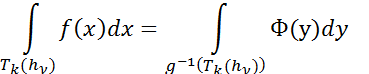
Функциясы жиынында Риман бойынша интегралданатын болғандықтан, теорема бойынша

(5)

жиынының әр A= кубына

(6) теңдігін қоланып,

теңдігіне келеміз, ал интегралдың аддитивтік қасиеті мен жиынының анықтамасы бойынша бұдан

теңдігі шығады.Сондықтан (1) және (5) бойынша және (4) белгілеуін ескере отырып

теңдігіне келеміз. Осыдан теорма толық дәлелденді.

Бірнеше x=g(y) түрлендіру үшін якобианы есептеліп, көлем элементі деп аталатын өрнегі жазылады.

1. кеңістігінде

Декарттық (x,y,z) координаталарынан сфералық деп аталатын (r ) координаталарына көшуді бейнелейтін g функциясының якобианы

Сондықтан көлем элементі болады.

 

кеңістігінде

Декарттық (x,y,z) координаталарынан цилиндрлік деп аталатын (r ) координаталарына көшуді бейнелейтін g функциясының якобианы

Сондықтан көлем элементі болады.

 

 







Date: 2015-07-24; view: 798; Нарушение авторских прав



mydocx.ru - 2015-2026 year. (0.655 sec.) Все материалы представленные на сайте исключительно с целью ознакомления читателями и не преследуют коммерческих целей или нарушение авторских прав - Пожаловаться на публикацию