Айқындалмаған функц/ң диф/дануы туралы теор
Айқындалмаған ф/я анықтамасы: 
Ай/м.ған ф/я бар болуы, диф/ы «екі айнымалы жағдай): Лемма. Егер функциясы сег/те үзіліссіз ж/е қатаң өспелі (не қатаң кемімелі) болып, сол сегменттің шеткі нүктелерінде қарама-қарсы таңбалы мәндерді қабылдаса онда белгілі бір нүктесі үшін теңдігі орындалады да сондай нүкте жалгыз болады.
Теор1: егер 1)F(x,y) сандық фун/ясы T тіктөртбұрышында анықталған ж/е үз/сіз болса; 2)F(a,b)=0 теңдігі орындалса; 3)әрбір үшін үшін сег/де у бойынша қатаң өспелі (не қатаң кемімелі) болса, онда А) белгілі бір ж/е оң сандары үшін F(x,y)=0 теңдеуі өзінің (a,b) шешіміне сай тіктөртбұрышы арқылы y=f(x) айқындалмаған функ/ясын анықтайды. В) f(a)=b теңдігі орындалады. С) f функ/сы интервалында үз/сіз болады.
Теор2: егер 1) сандық фун/сы T тіктөртбұрышында анықталған ж/е үз/сіз болса. 2) F(a,b)=0 теңдігі орындалса; 3) дербес туындылары Т жиынының әр нүктесінде бар ж/е үз/сіз болса болса онда 1-теореммадағы А) В) ж/е С) қасиеттерімен қатар келесі қасиетте орындалады. D) f(x) фун/сының интервалында туындысы бар және үз/сіз болады.
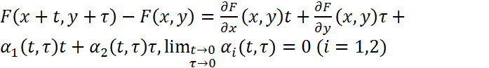
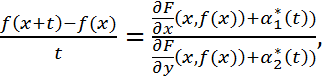
Дәлелдеуі(теор 2 ): Анықтық үшін болсын. Онда 3-бойынша функциясы нүктесінде үз/сіз болғандықтан, кірістірулерін қанағаттандыратын барлық нүктелері үшін болатындай ж/е оң сандары табылады. Лагранж теор/ы бойынша болғанда белгілі бір саны үшін болады. Бұл теңдіктің оң жағындағы өрнек оң таңбалы (өйткені ), сол себептен функциясы әр үшін бойынша қатаң өспелі, демек 1-теор/ң 3) шартыда, сонымен бірге, 2-теор/ң алғашқы үш қорытындысы да дәлелденді. Енді Д) қасиетін дәлелдейік. функциясының дербес туындылары үз/сіз болғандықтан, ол А), В) ж/е С) қасиеттері орындалтын жиынының әрбір нүктесінде дифференциалданады. Дифференциалдану анықтамасы бойынша нүктесі үшін (6)шарттары орындалатындай функциялары табылады. Бұнда үшін y=f(x), (7)
деп алсақ, онда ф/сы х нүктесінде үз/сіз болып ( С) қасиеті ), болғандықтан , демек, (6)-дағы екінші теңдік бойынша . (8)
(7) белгілеулері жағдайында (6)-дағы бірінші теңдіктің сол жағындағы тепе-тең рольге айналады, өйткені айқындалмаған ф/яның анықтамасы бойынша Сөйтіп (6)-дағы бірінші теңдікті былай да жазуға болады: . Бұдан демек, үшін (x,f(x) болғандықтан болатынын ескере отырып, сандық айнымалысын нольге ұмтылдырғанда (8) бойынша туындысы бар болып, теңдігі орындалатынын көреміз, яғни Д)-ның бірінші жартысы дәлелденді. Д) қасиетінің екіеші жартысы, яғни ф/ясының үз/сіздігі осы теңдіктің өзінен-ақ байқалады. Расында да, ф/ялары үз/сіз (теоремманың 3)-шарты) ж/е (С)-қасиеті) ф/яларынан құрылған күрделі ф/я ретінде өздері де үз/сіз болады, ал үз/сіз ф/ялардың қатынасы да үз/сіз. Теорема толық дәлелденді.
Date: 2015-07-24; view: 786; Нарушение авторских прав | Понравилась страница? Лайкни для друзей: |
|
|