Главная Случайная страница


Полезное:

Как сделать разговор полезным и приятным Как сделать объемную звезду своими руками Как сделать то, что делать не хочется? Как сделать погремушку Как сделать так чтобы женщины сами знакомились с вами Как сделать идею коммерческой Как сделать хорошую растяжку ног? Как сделать наш разум здоровым? Как сделать, чтобы люди обманывали меньше Вопрос 4. Как сделать так, чтобы вас уважали и ценили? Как сделать лучше себе и другим людям Как сделать свидание интересным?


Категории:

АрхитектураАстрономияБиологияГеографияГеологияИнформатикаИскусствоИсторияКулинарияКультураМаркетингМатематикаМедицинаМенеджментОхрана трудаПравоПроизводствоПсихологияРелигияСоциологияСпортТехникаФизикаФилософияХимияЭкологияЭкономикаЭлектроника






Математическая модель и ее анализ





 

 

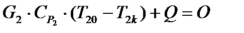
Для каждого теплоносителя запишем уравнение теплового баланса движущегося потока, гидродинамическая структура которого близка к представлениям, связанным с идеальным смешением:

(3.1)

G2·C ·T20 - G2· C ·T2K + Q2= O

Запишем выражения для источников тела для контактирующих потоков:

Q1 = k ·F ·(T2K- T1K) (3.2)

Q2 = k ·F ·(T1K- T2K)

Коэффициент теплопередачи через стенку, разделяющую теплоносители, при небольшой разности температур потоков можно принять постоянной величиной k=const, что позволит уменьшить число уравнений в системе.

Выражения для источников тепла можно свести к новой переменной :

(3.3)

 

Тогда система математического описания теплообменника сведется к трем алгебраическим уравнениям:

1.

2. (3.4)

3.

 

Система состоит из =3 уравнений.

Система имеет =10 переменных:

Число степеней свободы системы =11-3 = 8.

Система будет иметь единственное решение, если задать 8 переменных, характеризующих входные и внутренние параметры теплообменника:

Тогда определяемыми переменными будет:







Date: 2015-07-24; view: 520; Нарушение авторских прав



mydocx.ru - 2015-2026 year. (0.983 sec.) Все материалы представленные на сайте исключительно с целью ознакомления читателями и не преследуют коммерческих целей или нарушение авторских прав - Пожаловаться на публикацию