Главная Случайная страница


Полезное:

Как сделать разговор полезным и приятным Как сделать объемную звезду своими руками Как сделать то, что делать не хочется? Как сделать погремушку Как сделать так чтобы женщины сами знакомились с вами Как сделать идею коммерческой Как сделать хорошую растяжку ног? Как сделать наш разум здоровым? Как сделать, чтобы люди обманывали меньше Вопрос 4. Как сделать так, чтобы вас уважали и ценили? Как сделать лучше себе и другим людям Как сделать свидание интересным?


Категории:

АрхитектураАстрономияБиологияГеографияГеологияИнформатикаИскусствоИсторияКулинарияКультураМаркетингМатематикаМедицинаМенеджментОхрана трудаПравоПроизводствоПсихологияРелигияСоциологияСпортТехникаФизикаФилософияХимияЭкологияЭкономикаЭлектроника






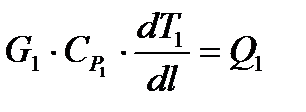
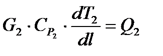
Математическая модель и ее анализ. Для каждого теплоносителя запишем уравнение теплового баланса движущегося потока, гидродинамическая структура которого близка к представлениям





Для каждого теплоносителя запишем уравнение теплового баланса движущегося потока, гидродинамическая структура которого близка к представлениям, связанным с идеальным вытеснением:

(3.6)

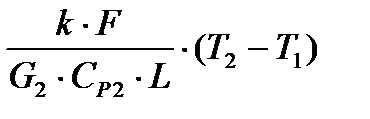
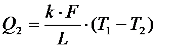
Запишем выражения источников тепла для сечений соответствующих зон:

 

(3.7)

 

Коэффициент теплопередачи через стенку, разделяющую теплоносители, при небольшой разности температур потоков можно принять постоянной величиной k=const, что позволит уменьшить число уравнений в системе.

Выражения для источников тепла можно свести к новой переменной :

 

(3.8)

 

В итоге получаем систему уравнений математического описания в следующем виде:

 

1.

2. (3.9)

3.

4.

 

Моделирование теплообменника в данном случае сводится к совместному интегрированию дифференциальных уравнений по переменной в пределах от до с шагом интегрирования h,.

При использовании для интегрирования метода Эйлера нужно записать начальные условия интегрирования и итерационные формулы для расчета соответствующих функций.

5.

6.

7. (3.10)

8.

 

Для реализации этого алгоритма нужно задать начальное приближение аргументу, задать шаг интегрирования и вычислить функцию правой части дифференциального уравнения при начальном значении аргумента. Количество таких итерационных циклов можно ограничить, если задать конечное значение для аргумента.

 







Date: 2015-07-24; view: 602; Нарушение авторских прав



mydocx.ru - 2015-2026 year. (0.656 sec.) Все материалы представленные на сайте исключительно с целью ознакомления читателями и не преследуют коммерческих целей или нарушение авторских прав - Пожаловаться на публикацию