Главная Случайная страница


Полезное:

Как сделать разговор полезным и приятным Как сделать объемную звезду своими руками Как сделать то, что делать не хочется? Как сделать погремушку Как сделать так чтобы женщины сами знакомились с вами Как сделать идею коммерческой Как сделать хорошую растяжку ног? Как сделать наш разум здоровым? Как сделать, чтобы люди обманывали меньше Вопрос 4. Как сделать так, чтобы вас уважали и ценили? Как сделать лучше себе и другим людям Как сделать свидание интересным?


Категории:

АрхитектураАстрономияБиологияГеографияГеологияИнформатикаИскусствоИсторияКулинарияКультураМаркетингМатематикаМедицинаМенеджментОхрана трудаПравоПроизводствоПсихологияРелигияСоциологияСпортТехникаФизикаФилософияХимияЭкологияЭкономикаЭлектроника






Пример 2.1. Моделирование реактора идеального смешения





 

Для реакции типа АРS требуется найти состав смеси на выходе, а -также определить время пребывания, при котором концентрация вещества Р будет иметь максимальное значение.

Рис. 2.1
Идеализированная схема реактора идеального смешения для данной реакции представлена рис. 2.1. Условия физической реализуемости этой модели выполняются, если во всем потоке или на рассматриваемом его участке происходит полное (идеальное) смешение частиц потока. В таком случае любое изменение концентрации вещества на входе потока мгновенно распределяются по всему объему аппарата.

 

Математическая модель и ее анализ

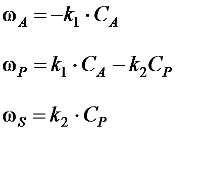
Для каждого реагента запишем уравнение материального баланса движущегося потока, гидродинамическая структура которого близка к представлениям, связанным с идеальным смешением:

 

(2.1)

где υ- расход реагента, м3/ч; Сi - концентрация реагента кмоль/м3; ωi- скорость химической реакции по i -му реагенту кмоль/(м3·ч).

На входе в реактор нет продуктов реакции, т.е. Скорости образования реагентов описываются следующими кинетическими уравнениями:

(2.2)

С учетом этого можно записать систему уравнений 2.1 иначе:

 

(2.3)

 

С учетом переменной τ = V/υ, которая называется временем пребывания, можно упростить запись системы уравнений (2.3):

(2.4)

Если записать систему уравнений (2.4) относительно определяемых переменных, то мы получим математическую модель реактора идеального смешения для данной реакции:

(2.5)

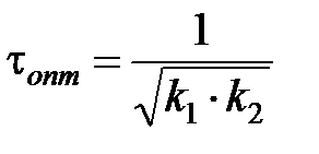
Функция Ср(τ) имеет максимум. Величину τопт, соответствующую максимальному значению концентрации Ср, можно найти аналитически.

Дифференцированием второго уравнения системы (4.5) по τ находим оптимальные условия проведения реакции.

 

(2.6)

 

Таким образом, моделирование реактора идеального смешения сводится к расчету концентраций на выходе реактора по формулам (2.5). Максимальную концентрацию вещества Р можно найти по аналитической формуле (2.6) или пользовать численный метод поиска экстремума функции Ср.

Для расчета концентраций при различных температурах система уравнений математического описания должна быть дополнена уравнениями Аррениуса:

(2.7)

где R- универсальная газовая постоянная, Дж/(моль К); Е - энергия активации, Дж/моль.

 

Задание для самостоятельной работы

1. Выполните расчеты реактора идеального смешения по вышеприведенным формулам (2.5-2.7). Исходные данные для расчетов приведены на листе MS Excel на следующей странице.

2. Исследуйте влияние температуры реакции на константы скорости реакций и изменение концентрации вещества Р при протекании реакции.

 

Методические указания по выполнению задания

 

Лист MS Excel с расчетами для реактора идеального смешения приведен на следующей странице (рис. 2.2).

Рекомендации по моделированию реактора идеального смешения:

· Переименуйте Лист 1 в Реактор идеального смешения, установите параметры страницы (А4 книжная, поля: левое, правое – 1; верхнее, нижнее – 1,5) сохраните под именем Моделирование реакторов.

· В блок ячеек A20:A25 введите параметры исследования – время пребывания τ. В ячейки B20:D20 введите соответствующие формулы (2.5), затем скопируйте этот диапазон в блок B21:D25. Константы скорости реакций рассчитываются в ячейках B16:B17. При вводе формул обратите внимание, ссылки на какие ячейки должны быть абсолютными. Если все выполнено правильно, вы получите значения, приведенные в таблице листа MS Excel на следующей странице (рис. 2.2).

· В ячейку B30 введите формулу для вычисления времени оптимального пребывания, в ячейку B31 – формулу (2.5) для расчета при τопт.

Численное решение задачи поиска экстремума функции Ср проводится в ячейках ВЗЗ:В34 с помощью надстройки Поиск решения.

Для запуска надстройки Поиск решения на ленте выберите Данные и в группе Анализ щелкните Поиск решения.

Если вы не видите в группе Анализ нужной надстройки, выполните настройку Excel: последовательно нажмите кнопку Office (левый верхний угол) – Параметры Excel – Надстройки.

В открывшемся окне щелкните внизу Перейти, отметьте нужные надстройки и нажмите ОК.

Окно диалога Поиск решения представлено на рис. 2.3.

Рис. 2.3

 

Установлена опция поиска максимума функции Ср - ячейка $B$34 (в нее необходимо ввести расчетную формулу (2.5)). Начальное приближение для переменной τ в ячейке ВЗЗ принято равное нулю. На определяемую переменную Ср наложено ограничение Ср<=, отражающее физический смысл задачи.


Нажмите Параметры и введите данные в соответствии с рис. 2.4.

После заполнения данными щелкните Выполнить.

Рис. 2.2

 

Рис. 2.4

 

В Результатах поиска решения сохраните найденное решение.

По данным блока A19:D25 строится Точечная диаграмма зависимости концентраций реагентов от времени пребывания.

Исследование зависимости концентрации вещества Р при трех температурах проводится по образцу, представленному в блоке ячеек А37:D48 (рис. 2.2).

Расчет концентрации вещества Р в ячейках B43:D48 проводится следующим образом. Введите в ячейку B43 формулу:

=$B$4*B$38*$A43/((1+B$38*$A43)*(1+B$39*$A43)).

Далее ячейка B43 копируется вправо до ячейки D43, а затем блок ячеек B43: D43 копируется вниз до 48 строки методом протаскивания за маркер автозаполнения.

 

 

Задание для самостоятельной работы

 

Проведите серию вычислительных экспериментов по изучению влияния параметров модели на концентрацию реагентов. Для этого создайте копии первого листа. Это позволит более наглядно увидеть происходящие изменения в таблицах и графиках модели.

1. Пусть Е2 будет равно 6,5·104, а затем пусть Е2 будет равно 9·104.

2. k20 будет равно 5·1012, а затем пусть k20 будет равно 5·1010.

По результатам эксперимента сделайте технологические выводы.

 







Date: 2015-07-24; view: 2900; Нарушение авторских прав



mydocx.ru - 2015-2026 year. (1.275 sec.) Все материалы представленные на сайте исключительно с целью ознакомления читателями и не преследуют коммерческих целей или нарушение авторских прав - Пожаловаться на публикацию