Главная Случайная страница


Полезное:

Как сделать разговор полезным и приятным Как сделать объемную звезду своими руками Как сделать то, что делать не хочется? Как сделать погремушку Как сделать так чтобы женщины сами знакомились с вами Как сделать идею коммерческой Как сделать хорошую растяжку ног? Как сделать наш разум здоровым? Как сделать, чтобы люди обманывали меньше Вопрос 4. Как сделать так, чтобы вас уважали и ценили? Как сделать лучше себе и другим людям Как сделать свидание интересным?


Категории:

АрхитектураАстрономияБиологияГеографияГеологияИнформатикаИскусствоИсторияКулинарияКультураМаркетингМатематикаМедицинаМенеджментОхрана трудаПравоПроизводствоПсихологияРелигияСоциологияСпортТехникаФизикаФилософияХимияЭкологияЭкономикаЭлектроника






Плотность вероятности, формула плотности вероятности





Вследствие того, что при непрерывной функции распределения вероятностей, вероятность каждого отдельного значения равна 0. Случайная величина не может в этом случае характеризоваться вероятностью своих значений. Возникает вопрос как определить является ли случайная величина Х возможным значением случайной величины и какое её значение более вероятно и какое менее. В этом случае числовая ось малыми интервалами ∆х, тогда вероятность того, что случайная величина Х произойдет на интервале Х+∆х.

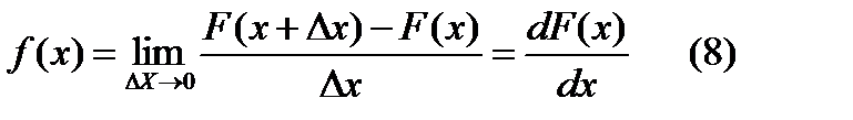
Если эту вероятность разделить на ∆х и устремить ∆х→0, то придем к новой характеристики называется плотностью вероятности.

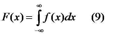
, из данного равенства следует, что плотность вероятности является положительной при любых значениях Х. Если плотность вероятности случайной величины Х в точке х отлично от 0, то х является возможны значением случайной величины Х. Плотность вероятности можно записать через функцию распределении: . , . . Вероятность того, что случайная величина Х лежит в интервале .







Date: 2015-07-23; view: 602; Нарушение авторских прав



mydocx.ru - 2015-2026 year. (1.159 sec.) Все материалы представленные на сайте исключительно с целью ознакомления читателями и не преследуют коммерческих целей или нарушение авторских прав - Пожаловаться на публикацию